Fisica moderna: fisica nuclear y cuantica

GoConqr Review

Esquema de física nuclear y física cuántica.
javierdoncel
Mind Map by javierdoncel, updated more than 1 year ago
javierdoncel
Created by javierdoncel over 10 years ago
167
0

Resource summary

Fisica moderna: fisica nuclear y cuantica
  1. Física cuantica
    1. Relatividad
      1. Es un enunciado que establece con respecto a que sistemas de referencia las leyes de la física son invariantes
        1. Conclusiones de los experimentos sobre la existencia del eter y la aberración de las estrellas
          1. Todas las leyes de la física son invariables en los sistemas de referencia inerciales
            1. La velocidad de la luz en el vacío toma el mismo valor en todos los sistemas de referencia inerciales
              1. Simultaneidad de sucesos
                1. El tiempo no trascurre de la misma manera en todos los sistemas de referencia inerciales; es decir, el tiempo no es absoluto,depende del sistema de referencia
              2. Fenómenos a consecuencia de la relatividadd
                1. Contracción de longitudes
                  1. Dilatación de tiempos
                  2. Dinámica
                  3. Emisión térmica
                    1. Cuerpo negro
                      1. Es aquel capaz de absorber toda la radiación que incida sobre él sin reflejar nada (Teórico)
                      2. Ley de Stefan-Boltzmann
                        1. Ley del desplazamiento de wien
                        2. Teoría cuántica de Planck
                          1. La luz es emitida por la materia en cantidades discretas e indivisibles llamadas cuantos, cuya energía es proporcional a la frecuencia f de la radiación emitida
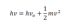
                          2. Efecto fotoeléctrico
                            1. Se produce una emisión de electrones por parte de ciertas sustancias, cuando son irradiadas con radiación electromagnética de frecuencia superior a una característica para cada sustancia
                            2. Efecto compton
                              1. Dualidad onda-corpúsculo (hipótesis de De Broglie)
                                1. Principio de incertidumbre de Heisenberg
                                2. Física nuclear
                                  1. Isotopos
                                    1. Son átomos del mismo elemento pero con distinto número de neutrones (número másico)
                                    2. Radiactividad natural (Becquerel)
                                      1. Transformaciones radiactvas
                                        1. Emisión alfa
                                          1. Emisión beta
                                            1. Emisión gamma
                                            2. Actividad radiactiva (Bq)
                                              1. Periodo de semidesintegración (T1/2)
                                                1. Tiempo que ha de transcurrir para que se desintegre la mitad de una muestra de un isotopo raadiactivo
                                                2. Defecto de masa
                                                  1. Energía
                                                    1. De enlace nuclear
                                                      1. Ee = ^m c^2
                                                      2. De en lace por nucleón
                                                        1. En = Ee/A
                                                      3. Reacciones nucleares
                                                        1. Fisión
                                                          1. Fusión
                                                          2. Tipos de particulas
                                                          Show full summary Hide full summary

                                                          Similar

                                                          Método científico
                                                          Carlos Eduardo Solano González
                                                          Cinemática
                                                          maya velasquez
                                                          La Ley de la Gravedad
                                                          maya velasquez
                                                          Segunda Ley de la Termodinámica
                                                          Virginia León
                                                          Fuerzas, leyes de Newton y ley de la gravitacion universal.
                                                          Omar Vazquez Flores
                                                          Mapa Mental Fisica
                                                          Daniela QuinTero
                                                          Métodos gráficos para sistemas de fuerzas
                                                          Andres Alberto Dranuta
                                                          FUENTES DE ENERGÍA
                                                          Alba Guzman
                                                          Ramas de la hidráulica
                                                          johanna jimenez
                                                          ELECTROMAGNETISMO
                                                          sanli_marzer