Electrostática

Description

Electrostática, ley de Gauss, ley de Coulomb y una aplicación relacionada con estas leyes
Salomon Ramirez Toral
Mind Map by Salomon Ramirez Toral, updated more than 1 year ago
Salomon Ramirez Toral
Created by Salomon Ramirez Toral almost 5 years ago
71
0

Resource summary

Electrostática
  1. La entendemos como
    1. Estudio de las cargas en reposo
      1. Efectos entre dos cuerpos
        1. Por sus cargas eléctricas
      2. Primeros indicios
        1. Thales de Mileto (600 A.C.)
          1. Amabar
            1. William Gilbert (1660)
              1. Descubre que el paño y el ambar intercambian electrones
          2. Ley de Gauss
            1. Cálculo del campo eléctrico
              1. Generado por
                1. Cuerpos con geometría sencilla
              2. Número de líneas de campo que atraviesan una determinada superficie por unidad de tiempo
                1. Considera
                  1. Dirección y sentido de las líneas de campo
                    1. Generadas por la distribución de la carga
                    2. Orientación y sentido de la superficie
                      1. Con respecto a las líneas de campo
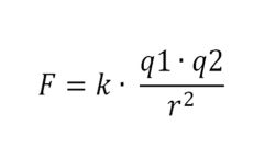
                  2. Ley de Coulomb
                    1. Cálculo de fuerza eléctrica
                      1. Entre dos cargas en reposo
                        1. Considera
                          1. Magnitud de las cargas
                            1. Distancia entre las cargas
                              1. Signos de las cargas
                                1. Medio en el que se encuentran
                            2. Podemos cargar un cuperpo
                              1. por
                                1. Frotación
                                  1. Cargar dos cuerpos frotándolos uno contra otro
                                    1. Quita electrones de un lado
                                      1. Electropositivamente cargado
                                      2. Agrega electornes al otro lado
                                        1. Electronegativamente cargado
                                    2. Inducción
                                      1. Sin contacto
                                        1. Un cuerpo previamente cargado se acerca a un cuerpo neutro
                                          1. Las cargas del cuepo neutro que son del mismo tipo que las del cuerpo cargado se repelen y alejan
                                        2. Contacto
                                          1. Un cuerpo previamente cargado toca a uno neutro
                                            1. Arranca o deposita electrones en el cuerpo neutro
                                      2. Aplicaciones
                                        1. Pintura electrostática
                                          1. Trabaja mediante campos electrostáticos y atracción de cargas
                                            1. Una pintura especial se carga positivamente
                                              1. El objeto a pintar se carga positivamente
                                                1. El objeto debe ser metálico
                                                2. La pintura se adhiere al objeto con cero desperdicio
                                                  1. El acabado y duración son mejores que la pintura convencional
                                            Show full summary Hide full summary

                                            Similar

                                            INGENIERIA DE MATERIALES
                                            Ricardo Álvarez
                                            Elementos Básicos de Ingeniería Ambiental
                                            Evilus Rada
                                            Historia de la Ingeniería
                                            Camila González
                                            Introducción a la Ingeniería de Software
                                            David Pacheco Ji
                                            UNIDAD II DIBUJO PROYECTIVO
                                            anyimartinezrued
                                            GENERALIDADES DE LAS EDIFICACIONES
                                            yessi.marenco17
                                            MAPA MENTAL SOFTWARE APLICADOS EN INGENIERÍA CIVIL
                                            Ruben Dario Acosta P
                                            Examen Ingeniería Electromecánica II
                                            Jorge Cabrera7516
                                            Normas que Rigen la Ingenieria Mecanica
                                            Francisco Balderas Garcia
                                            Estado de la ingenería mecánica y su perspectiva a futuro
                                            Roberto Martinez
                                            MAPA CONCEPTUAL SOBRE LA INICIATIVA CDIO
                                            Victor Antonio Rodriguez Castañeda