null
US
Sign In
Sign Up for Free
Sign Up
We have detected that Javascript is not enabled in your browser. The dynamic nature of our site means that Javascript must be enabled to function properly. Please read our
terms and conditions
for more information.
Next up
Copy and Edit
You need to log in to complete this action!
Register for Free
2810257
Medidas de asimetría y apuntamiento
Description
apuntamiento asimetría
No tags specified
apuntamiento
asimetria
medidas
noveno
Mind Map by
paola acosta
, updated more than 1 year ago
More
Less
Created by
paola acosta
over 10 years ago
948
0
0
Resource summary
Medidas de asimetría y apuntamiento
Denominadas también medidas de forma porque permite comparar la forma que tiene la representación gráfica
Medidas de asimetría
Medidas Simétricas
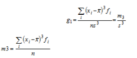
Coeficiente de asimetría de Fisher
g1 = 0 La distribución es simétrica
Si g1>0 la distribución es asimétrica positiva o asimétrica a derechas.
Si g1>0 la distribución es asimétrica positiva o asimétrica a derechas.
Coeficiente de asimetría de Pearson
Si As= 0, donde
Si As> 0 la distribución es asimétrica positiva
Si As< 0 la distribución es asimétrica negativa
5 Medidas de apuntamiento o curtosis
Si g2>0 leptocurtica.
Si g2<0 platicurtica.
Media attachments
3a9b7cf6-344f-498c-965a-95455d39dbe3.gif (image/gif)
3331a295-5201-4b1b-841e-161f7067df0d (image/jpg)
eb013ccb-5b1d-4218-a5a9-9ef8392d20ff.gif (image/gif)
f3c25d67-1fdf-4550-81f6-165243756496 (image/png)
c9fc21b4-984b-4312-bc8f-3e0747c363ac (image/png)
96abdc7a-7690-453d-9e8f-912484d0a8e6 (image/jpg)
b51f85da-cbb1-43a2-818e-3c1b5b35ff2a (image/png)
Show full summary
Hide full summary
Want to create your own
Mind Maps
for
free
with GoConqr?
Learn more
.
Similar
Medidas estadisticas univariantes
diana vega
Medidas de la Estadística Descriptiva
Humberto Lopez Tepox
UNIDADES DE MASA
Maria Elena Ramirez Dominguez
SEGURIDAD INFORMÁTICA
ERNESTO GARCIA CASTORENA
Medidas de Prevención y protección
Mishel Navarrete
UNIDADES DE MASA
Oswaldo Yanes
METROLOGÍA DIMENSIONAL
Catherine Magaña Morales
ASIMETRIA CEREBRAL
Sandra Jimenez
Medidas de la Estadística Descriptiva
wendy butron
medidas estadisticas bivariantes de regresion
maria yudy rivera cortes
Física tema 1
Jordi Rodriguez Mestres
Browse Library