DOENÇAS NO SNC CAUSADAS POR PRÍONS/BACTÉRIAS

Description

estudo das patologias causadas por prion e bacterias no snc
Jéssica Severo Dametto
Mind Map by Jéssica Severo Dametto, updated more than 1 year ago
Jéssica Severo Dametto
Created by Jéssica Severo Dametto over 10 years ago
62
0

Resource summary

DOENÇAS NO SNC CAUSADAS POR PRÍONS/BACTÉRIAS
  1. DOENÇAS CAUSADAS POR PRÍONS
    1. Encefalopatia Espongiforme Bovina (BSE)
      1. Etiologia
        1. BSE = “doença da vaca louca”.
          1. É uma condição degenerativa crônica e transmissível do SNC de bovinos.
            1. O nome da doença vem das alterações espongiformes encontradas no exame microscópico.
              1. Agente etiológico: Proteína infectante (príon –proteinaceous infectious particle).
                1. Resistente ao calor
                  1. Processos de esterilização
                    1. Não induz resposta imune ou inflamatória.
                    2. A BSE é uma das doenças neurodegenerativas que afetam pessoas e animais –Encefalopatias Espongiformes Transmissíveis (TSEs).
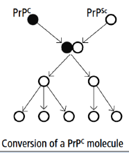
                        1. A sequência de aminoácidos do príon infectivo (PrPsc) é a mesma de uma glicoproteína normal (PrPc) encontrada na membrana plasmática de células normais SNC.
                        2. Epidemiologia
                          1. Grã-Bretanha, 1986 –185.000 casos
                            1. Farinha carne e osso
                              1. Vacas de leite -manejo
                                1. Sem predileção por sexo e raça
                                  1. Período de incubação: 2 a 8 anos –média 5 anos.
                                    1. Curso clínico: 3 semanas a 6 meses
                                    2. Sinais clínicos
                                      1. Nervosismo
                                        1. Medo ou agressividade
                                          1. Salivação
                                            1. Andar rígido
                                              1. Ataxia
                                                1. Hipermetria
                                                  1. Paresia dos membros pélvicos
                                                    1. Decúbito
                                                    2. Achados
                                                      1. Macroscópicos
                                                        1. Não há lesões
                                                        2. Microscopicamente
                                                          1. Lesões degenerativas simétricas e bilaterais na substância cinzenta do tronco encefálico (bulbo, mesencéfalo e tálamo).
                                                        3. Diagnóstico
                                                          1. Não há teste para diagnósticas BSE no bovino vivo
                                                            1. Exame microscópico do encéfalo
                                                              1. Imuno-histoquímica
                                                                1. Outros testes imunológicos
                                                                  1. Microscopia eletrônica
                                                                2. Scrapie
                                                                  1. Etiologia
                                                                    1. Paraplexia enzoótica dos ovinos
                                                                      1. Ovinos/caprinos
                                                                        1. Repr.exper.camundongos
                                                                          1. Perda neuronal, crônica, não inflamatória
                                                                            1. Príon (proteinaceous infectious particle)
                                                                              1. XVII,tremores (la tremblante) e prurido (Gnubberkrankheit).
                                                                                1. Scrapie: tendência a se coçarem
                                                                                2. Patogenia
                                                                                  1. PrPc;c= célula normal (membrana celular)
                                                                                    1. Encefalopatias espongiformes,PrPsc; sc= scrapie (encéfalo,tecido linforeticular).
                                                                                      1. PrPsc+PrPc= 2 moléculas PrPsc
                                                                                      2. Epidemiologia
                                                                                        1. Ovinos adultos (42 meses)
                                                                                          1. Não causa doença em humanos!!
                                                                                            1. Placenta, cérebro e tecido linforeticular
                                                                                            2. Sinais Clínicos
                                                                                              1. Crônica,2,5-3,5anos
                                                                                                1. Prurido
                                                                                                  1. Coceira (satisfação,lamber dos lábios)
                                                                                                    1. Evolução de semanas até vários meses
                                                                                                      1. Disfagia
                                                                                                        1. Emagrecimento
                                                                                                        2. Patologia
                                                                                                          1. Emagrecimento
                                                                                                            1. Alopecia
                                                                                                              1. Vacuolização neurônios (mesencéfalo, ponte, medula oblonga,cornos laterais e ventrais da medula espinhal)
                                                                                                              2. Diagnóstico
                                                                                                                1. Sinais clínicos, epidemiologia, Histologia
                                                                                                                  1. Imuno-histoquímica
                                                                                                                    1. Westernblot
                                                                                                                2. DOENÇAS CAUSADAS POR BACTÉRIAS
                                                                                                                  1. Botulismo
                                                                                                                    1. Etiologia
                                                                                                                      1. Uma das principais causas de mortalidade em bovinos nas regiões Sudeste e Centro-oeste
                                                                                                                        1. É uma intoxicação não febril, geralmente fatal, caracterizada por paresia e paralisa flácida,envolvendo a musculatura da locomoção,mastigação e deglutição.
                                                                                                                          1. Acomete: Bovinos, ovinos, caprinos, equinos, aves, caninos, felinos e esporadicamente suínos.
                                                                                                                            1. Clostridium botulinum
                                                                                                                              1. Toxinas:A-G
                                                                                                                                1. C ou D–Bovinos.
                                                                                                                                  1. Solo, água e tratos digestivo
                                                                                                                                    1. Contaminação: ingestão de material contaminado restos de cadáveres, água ou alimentos.
                                                                                                                                    2. Toxinas são absorvidas e transportadas aos neurônios sensíveis via hematógena e linfática.
                                                                                                                                      1. Toxina atua junções neuromusculares
                                                                                                                                        1. Bloqueia liberação acetilcolina
                                                                                                                                          1. Paralisia flácida
                                                                                                                                            1. Morte parada respiratória
                                                                                                                                    3. Epidemiologia
                                                                                                                                      1. Carência Fósforo hábito de roer ou ingerir fragmentos de ossos de animais mortos no campo;
                                                                                                                                        1. Alimentos contaminados (cama de frango, água, silagem e ração);
                                                                                                                                          1. “doença da vaca caída”;
                                                                                                                                            1. Gado corte* e de leite
                                                                                                                                              1. Animais maior que 2 anos
                                                                                                                                              2. Sinais clínicos
                                                                                                                                                1. Agudo–maioria dos casos (evolução clínica e morte em 24-48 horas)
                                                                                                                                                  1. Superagudo (evolução clínica e morte em 24 horas),subagudo (48 horas–7 dias) ecrônico (evolução clínica e eventualmente morte a partir de 7 dias).
                                                                                                                                                    1. Paralisia flácida
                                                                                                                                                      1. Dificuldade locomoção, Flacidez língua e mandíbula
                                                                                                                                                      2. Diagnóstico
                                                                                                                                                        1. Histórico
                                                                                                                                                          1. Quadro clínico-patológico
                                                                                                                                                            1. Bioensaioe neutralização antitoxina homóloga
                                                                                                                                                              1. ELISA
                                                                                                                                                                1. Necropsia / Histopatologia
                                                                                                                                                                  1. Fígado(100g), Líquido ruminal (20ml) e intestinal (20ml) refrigerados ou congelados
                                                                                                                                                                2. Tétano
                                                                                                                                                                  1. Etiologia
                                                                                                                                                                    1. Doença infecciosa não contagiosa
                                                                                                                                                                      1. Clostridium tetani
                                                                                                                                                                        1. G+, anaeróbio,formador de esporos
                                                                                                                                                                          1. Solo e trato gastrointestinal
                                                                                                                                                                            1. 3 toxinas
                                                                                                                                                                              1. Tetanospasmina
                                                                                                                                                                                1. Liga-se terminações nervosas de neurônios/interfere na liberação de neurotransmissores,Glicina e GABA-Hiper excitabilidade.
                                                                                                                                                                                2. Tetanolisina
                                                                                                                                                                                  1. Amplia quantidade de necrose tecidual local
                                                                                                                                                                                  2. Toxina não espasmogênica
                                                                                                                                                                              2. Epidemiologia
                                                                                                                                                                                1. Solo, água e fezes
                                                                                                                                                                                  1. Porta de entrada
                                                                                                                                                                                    1. Castração
                                                                                                                                                                                      1. Umbigo
                                                                                                                                                                                        1. Descola
                                                                                                                                                                                          1. Parto
                                                                                                                                                                                            1. Equipamentos não higienizados
                                                                                                                                                                                            2. 2001 RS:vermífugo injetável (2.389 bovino/12,80% e letalidade 98,7%)
                                                                                                                                                                                              1. Suscetibilidade: equídeos, cobaias, ovinos, camundongos, caprinos, bovinos, caninos e felinos.
                                                                                                                                                                                              2. Sinais clínicos
                                                                                                                                                                                                1. Período de incubação: 18 horas a 4 semanas (7-15 dias);
                                                                                                                                                                                                  1. Em caso de período longo de incubação, pode não ser possível detectar porta entrada.
                                                                                                                                                                                                    1. Rigidez muscular
                                                                                                                                                                                                      1. Tremores
                                                                                                                                                                                                        1. Trismos mandibulares
                                                                                                                                                                                                          1. Rigidez membros pélvicos
                                                                                                                                                                                                            1. Prolapso 3 pálpebra
                                                                                                                                                                                                              1. “Posição de cavalete”
                                                                                                                                                                                                                1. Quedas membros estendidos
                                                                                                                                                                                                                  1. Opistótono
                                                                                                                                                                                                                  2. Diagnóstico
                                                                                                                                                                                                                    1. Clínico e epidemiológico
                                                                                                                                                                                                                      1. Inoculação em camundongos
                                                                                                                                                                                                                        1. Equinos: Doença hepática aguda idiopática
                                                                                                                                                                                                                          1. Necropsia/Histopatologia
                                                                                                                                                                                                                        2. Listeriose
                                                                                                                                                                                                                          1. Etiologia
                                                                                                                                                                                                                            1. Listeria monocytogenes
                                                                                                                                                                                                                              1. Gram+
                                                                                                                                                                                                                                1. 3 formas
                                                                                                                                                                                                                                  1. septicemia
                                                                                                                                                                                                                                    1. aborto
                                                                                                                                                                                                                                      1. doença neurológica
                                                                                                                                                                                                                                        1. (ovinos,caprinos e bovinos);
                                                                                                                                                                                                                                        2. Solo,plantas,silagens e fezes
                                                                                                                                                                                                                                          1. má qualidade e baixa fermentação pH acima de 5,5
                                                                                                                                                                                                                                          2. Penetração na mucosa oral por feridas e chega ao SNC por via neurógena (trigêmeo e facial)
                                                                                                                                                                                                                                        3. Sinais clínicos
                                                                                                                                                                                                                                          1. Período de incubação: 3 semanas
                                                                                                                                                                                                                                            1. Curso clínico: 7-14 dias
                                                                                                                                                                                                                                              1. Tronco encefálico
                                                                                                                                                                                                                                                1. Depressão e andar em círculos para um dos lados
                                                                                                                                                                                                                                                  1. Fechamento assimétrico mandíbula (trigêmeo)
                                                                                                                                                                                                                                                    1. Estrabismo (abducente)
                                                                                                                                                                                                                                                      1. Disfagia (Glossofaríngeo/vago e acessório)
                                                                                                                                                                                                                                                        1. Paresia/paralisia língua (Hipoglosso)
                                                                                                                                                                                                                                                          1. Vestibulococlear
                                                                                                                                                                                                                                                            1. Andar círculos
                                                                                                                                                                                                                                                              1. Nistagmo
                                                                                                                                                                                                                                                              2. Facial
                                                                                                                                                                                                                                                                1. Orelha caída
                                                                                                                                                                                                                                                                  1. Ptose palpebral
                                                                                                                                                                                                                                                                    1. Perda reflexo palpebral
                                                                                                                                                                                                                                                                      1. Paralisia facial
                                                                                                                                                                                                                                                                    2. Necropsia/Histopatologia
                                                                                                                                                                                                                                                                      1. Necropsia sem alterações.
                                                                                                                                                                                                                                                                        1. LCR turvo
                                                                                                                                                                                                                                                                          1. Malacianos cortes do tronco encefálico
                                                                                                                                                                                                                                                                            1. Manguitos perivasculares células Inflamatorias Mononucleares
                                                                                                                                                                                                                                                                              1. Micro abscessos assimétricos
                                                                                                                                                                                                                                                                                1. Degeneração axonal
                                                                                                                                                                                                                                                                                  1. “Células Gitter”
                                                                                                                                                                                                                                                                                  2. Diagnóstico
                                                                                                                                                                                                                                                                                    1. Histórico
                                                                                                                                                                                                                                                                                      1. Sinais clínicos
                                                                                                                                                                                                                                                                                        1. H&E
                                                                                                                                                                                                                                                                                          1. Gram
                                                                                                                                                                                                                                                                                            1. IHQ
                                                                                                                                                                                                                                                                                              1. Cultivo
                                                                                                                                                                                                                                                                                            2. Abscesso cerebral
                                                                                                                                                                                                                                                                                              1. Etiopatogênese
                                                                                                                                                                                                                                                                                                1. Jovens
                                                                                                                                                                                                                                                                                                  1. Intrameníngeos/extrameníngeos
                                                                                                                                                                                                                                                                                                    1. Sinais clínico: localização
                                                                                                                                                                                                                                                                                                      1. Morbidade: 2%
                                                                                                                                                                                                                                                                                                        1. Letalidade: alta
                                                                                                                                                                                                                                                                                                        2. Vias
                                                                                                                                                                                                                                                                                                          1. Hematógena
                                                                                                                                                                                                                                                                                                            1. Lesões penetrantes
                                                                                                                                                                                                                                                                                                              1. Extensão lesão supurativa adjacente
                                                                                                                                                                                                                                                                                                                1. Via nervo periférico
                                                                                                                                                                                                                                                                                                                  1. Transferência imunidade passiva ingestão insuficiente de colostro
                                                                                                                                                                                                                                                                                                                    1. Onfaloflebite
                                                                                                                                                                                                                                                                                                                      1. Tabuleta -Trueperellapyogenes
                                                                                                                                                                                                                                                                                                                      2. Sinais clínicos
                                                                                                                                                                                                                                                                                                                        1. Localização
                                                                                                                                                                                                                                                                                                                          1. Abscesso pituitário: corrimento nasal, depressão, febre, incoordenação, andar em círculos e desvio lateral cabeça
                                                                                                                                                                                                                                                                                                                            1. Cegueira
                                                                                                                                                                                                                                                                                                                              1. Opacidade córnea
                                                                                                                                                                                                                                                                                                                                1. Convulsões
                                                                                                                                                                                                                                                                                                                                  1. Opistótono
                                                                                                                                                                                                                                                                                                                                  2. Necropsia/Histopatologia
                                                                                                                                                                                                                                                                                                                                    1. Exsudato amarelo semi-sólido
                                                                                                                                                                                                                                                                                                                                      1. Abscesso na pituitária
                                                                                                                                                                                                                                                                                                                                        1. Agregados de neutrófilos, restos celulares
                                                                                                                                                                                                                                                                                                                                          1. Proliferação tecido conjuntivo
                                                                                                                                                                                                                                                                                                                                          2. Diagnóstico
                                                                                                                                                                                                                                                                                                                                            1. Histórico
                                                                                                                                                                                                                                                                                                                                              1. tabuletas, colostro, umbigo
                                                                                                                                                                                                                                                                                                                                                1. Macroscopia
                                                                                                                                                                                                                                                                                                                                            Show full summary Hide full summary

                                                                                                                                                                                                                                                                                                                                            Similar

                                                                                                                                                                                                                                                                                                                                            Sistema Imune
                                                                                                                                                                                                                                                                                                                                            Lia_anaju
                                                                                                                                                                                                                                                                                                                                            Cartões Prions/Fungos/Bactérias/Vírus
                                                                                                                                                                                                                                                                                                                                            Sachiko Chan
                                                                                                                                                                                                                                                                                                                                            Fisiologia do envelhecimento
                                                                                                                                                                                                                                                                                                                                            Lincoln Freitas
                                                                                                                                                                                                                                                                                                                                            Ansiolíticos
                                                                                                                                                                                                                                                                                                                                            Carolinne Neves
                                                                                                                                                                                                                                                                                                                                            Sífilis
                                                                                                                                                                                                                                                                                                                                            Raquel Espínola
                                                                                                                                                                                                                                                                                                                                            Hemorragias no SNC
                                                                                                                                                                                                                                                                                                                                            Drive Med
                                                                                                                                                                                                                                                                                                                                            O papel da fisioterapia neurofuncional
                                                                                                                                                                                                                                                                                                                                            Andielson Prado
                                                                                                                                                                                                                                                                                                                                            Diagnóstico de Enterobactérias de importância Médica
                                                                                                                                                                                                                                                                                                                                            Tâmara Lago
                                                                                                                                                                                                                                                                                                                                            Benzodiazepínicos
                                                                                                                                                                                                                                                                                                                                            Sheila Diesel
                                                                                                                                                                                                                                                                                                                                            Liquor cefalorraquidiano
                                                                                                                                                                                                                                                                                                                                            Aldo Pierott