null
US
Sign In
Sign Up for Free
Sign Up
We have detected that Javascript is not enabled in your browser. The dynamic nature of our site means that Javascript must be enabled to function properly. Please read our
terms and conditions
for more information.
Next up
Copy and Edit
You need to log in to complete this action!
Register for Free
2963630
LEY COMBINADA DE LOS GASES
Description
Mapa mental Ley combinada de los gases
No tags specified
fìsica
quìmica
fìsica- quìmica
tercero
Mind Map by
Gabriela Lafebre
, updated more than 1 year ago
More
Less
Created by
Gabriela Lafebre
over 10 years ago
79
0
0
Resource summary
LEY COMBINADA DE LOS GASES
Enunciado
El volumen ocupado por una masa gaseosa
es inversamente proporcional a las presiones
y directamente proporcional a las temperaturas absolutas que soportan
es una ley de los gases
Se refieren a cada una de las variables termodinámicas con relación a otra mientras todo lo demás se mantiene constante.
combina la ley de Boyle, la ley de Charles y la ley de Gay-Lussac.
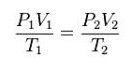
Matematicamente puede expresarse
Aplicaciòn
Esta ley puede explicar el funcionamiento de:
los acondicionadores de aire
Refrigeradores
Formaciòn de las nubes
Tanques de gas
Media attachments
adb2d9a4-5f54-4908-9383-894e1cd2408a.gif (image/gif)
a39c8f40-5a20-4ad1-8809-77b495628691 (image/jpg)
99ddd67e-27d5-4ffc-bbc0-4f56243f36d8 (image/jpg)
Show full summary
Hide full summary
Want to create your own
Mind Maps
for
free
with GoConqr?
Learn more
.
Similar
Leyes de los gases
PILAR FAJARDO YRALA
Historia del Àtomo y Tabla Periòdica
Ivan Elias Onofre
Macromolèculas
Robert27
Torque o Cantidad de Movimiento
Machado Alejandro
MINERALES
Darcy X. Gonzalez C.
EL ÀTOMO
LIDIA JUANA JAILLITA HUANCA
fichas del átomo
LIDIA JUANA JAILLITA HUANCA
Evaluación del tema
LIDIA JUANA JAILLITA HUANCA
MATERIA
ADII TOALA
Procesos Unitarios
Majiito De Tomlinson
Operaciones Unitarias
Majiito De Tomlinson
Browse Library