Correlación y Regresión

Description

Un mapa sobre correlacion y regresion
Ale Perez De Lara
Mind Map by Ale Perez De Lara, updated more than 1 year ago
Ale Perez De Lara
Created by Ale Perez De Lara over 10 years ago
88
0

Resource summary

Correlación y Regresión
  1. Análisis de Correlación
    1. Mide la intensidad de relación entre dos variables
      1. Coeficiente de Correlación
        1. ¿Que es?
          1. Medida de asociación lineal entre X y Y
          2. ¿Como se calcula?
          3. Coeficiente de determinación
            1. ¿Que es?
              1. Proporción de la variación de Y respecto a X
                1. ¿Para que sirve?
                  1. Para analizar la variabilidad de puntos observados
                    1. Interpretación
                      1. Cerca -1: Negativa
                        1. Cerca 0: No existe
                          1. Cerca +1: Positiva
                  2. ¿Como se calcula?
                    1. r^2(100)
                      1. Interpretación
                        1. Mientras más alto %, más ajuste al modelo
              2. Gráfica de Dispersión
                1. ¿Para que sirve?
                  1. Para determinar relación entre 2 variables
                  2. ¿Que es?
                    1. Gráfica de datos apareados (x,y)
                      1. Con un eje hor. X y un eje ver. Y
                    2. Interpretación
                      1. Conjunto de datos que corresponde a otro conjunto de datos
                    3. Análisis de Regresión lineal Simple
                      1. Función para predecir el efecto de una variable sobre otra
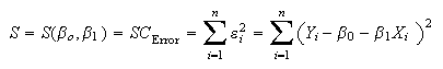
                        1. Método de Mínimos Cuadrados
                          1. ¿Que es?
                            1. Suma residual de los cuadrados
                              1. Error en el ajuste de la ecuación de la recta
                                1. ¿Para que sirve?
                                  1. Linea de cercanía entre recta y los puntos graficados
                            2. ¿Como se calcula?
                                1. Interpretación
                                  1. Los residuos son desviaciones verticales
                            3. Ecuación de la recta ajustada
                              1. ¿Que es?
                                1. Relación de regresión expresada en recta
                                  1. ¿Para que sirve?
                                    1. Observar y describir la relación entre dos puntos
                                      1. ¿Como se calcula?
                                        1. y= a + bx
                                          1. Interpretación
                                            1. Puntos cerca de la recta, linealidad razonable
                          Show full summary Hide full summary

                          Similar

                          MAPA MENTAL ESTADISTICA
                          fidel451
                          Ecuaciones Estadísticas
                          Diego Santos
                          Cuestionarios de Probabilidad y Estadistica
                          Saddy Jair Aragon Pimentel
                          GRAFICOS EN ESTADISTICAS
                          Adriana Cortes Barbosa
                          Medidas Estadísticas Bivariantes de Regresión
                          Fernando Henao Castaño
                          Las ventajas y desventajas de la investigación cualitativa
                          Olga sofia Gonzalez
                          PROBLEMÁTICA AMBIENTAL
                          Edison Andres Pinto Forero
                          METODOS PROBABILISTICOS
                          duvan heavy
                          Dato Mayor y dato menor de un conjunto de datos
                          basilio gomez
                          3.11 PRUEBA DE HIPOTESIS PARA LA RELACION DE VARIANZAS
                          Sergio Alejandro Herbert Hernandez
                          MUESTREO Y DISTRIBUCIONES MUESTRALES
                          Yumary Lima Ruiz