null
US
Sign In
Sign Up for Free
Sign Up
We have detected that Javascript is not enabled in your browser. The dynamic nature of our site means that Javascript must be enabled to function properly. Please read our
terms and conditions
for more information.
Next up
Copy and Edit
You need to log in to complete this action!
Register for Free
3089566
CIRCUITOS DIGITALES FLIP-FLOPS 5
Description
mapa mental
No tags specified
definicion
introduccion
funcion
Mind Map by
Stefanie Sanchez Cifuentes
, updated more than 1 year ago
More
Less
Created by
Stefanie Sanchez Cifuentes
over 10 years ago
27
0
0
Resource summary
CIRCUITOS DIGITALES FLIP-FLOPS 5
DEFINICÓN
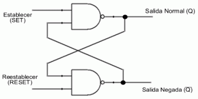
Memoria compuesta de dos puertas logicas AND
FUNCIÓN
almacenar un estado lógico a la salida de una compuerta
Capaz de almacenar un bit de información
INTRODUCCIÓN
Utilizan datos binarios para funcionar correctamente
DISEÑADOS
Para contar, sumar, separar, etc.
Trabaja con las compuertas lógicas NAND
Media attachments
2f53d74f-abd5-4f92-a5e5-abbef548e196.gif (image/gif)
93ff3c08-9989-4ddb-9ae2-42969c0bb23a.gif (image/gif)
91300621-9874-4f77-b8d0-06e6f8babd42.gif (image/gif)
Show full summary
Hide full summary
Want to create your own
Mind Maps
for
free
with GoConqr?
Learn more
.
Similar
Nutrientes
Arlette Edina
OBESIDAD INFANTIL
ABIGAIL ARREDONDO
Trabajo de Goconqr
tatileito_95
SISTEMA RESPIRATORIO
MADELEINE MONTOYA
Internet
dariananazarethr
BROWSER
linitavi82
Alcances de la Psicología y función del psicólogo
Carolina Itzel Sanchez Rodriguez
Fisioterapia
Esilda Rodriguez
OBJETIVO DE LA COMUNIDAD
marigubuap
FUNCIONAMIENTO DEL DISCO DURO
Steeven David Guangasig Yanchaguano
TIC´s
Jorge Luis De La Cruz Pulido
Browse Library