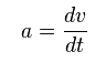
aceleración

Description

trabajo de fisica de aceleracion
laura y yuri Forero
Mind Map by laura y yuri Forero, updated more than 1 year ago
laura y yuri Forero
Created by laura y yuri Forero about 10 years ago
89
0

Resource summary

aceleración
  1. es una magnitud vectorial que nos indica la variación de velocidad por unidad de tiempo.
    1. Aceleración media e instantánea
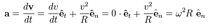
      1. Cada instante, o sea en cada punto de la trayectoria, queda definido un vector velocidad que, en general, cambia tanto en módulo como en dirección al pasar de un punto a otro de la trayectoria
      2. Medición de la aceleración
        1. hacerse con un sistema de adquisición de datos y un simple acelerómetro.
        2. Unidades
          1. Sistema Internacional 1 m/s2
            1. Sistema Cegesimal 1 cm/s2 = 1 Gal
            2. Componentes intrínsecas de la aceleración: aceleraciones tangencial y normal
              1. Movimiento circular uniforme
                1. Movimiento rectilíneo acelerado
                2. Aceleración en mecánica relativista
                  1. Relatividad especial
                    1. Relatividad general
                    Show full summary Hide full summary

                    Similar

                    Introducción a la cinemática
                    Marcela Tejada Gil
                    Leyes de Newton
                    Pablo Piovoso
                    Magnitudes Físicas
                    karen vanesa herrera castañeda
                    LA FÍSICA EN NUESTRA VIDA
                    Enrique Cerón López
                    Leyes de Newton
                    Laura Rojo Negrete
                    CANTIDADES VECTORIALES
                    oscar sinisterra
                    MOVIMIENTOS EN UNA DIMENSIÓN
                    Rocio Casas
                    TIPOS DE MOVIMIENTO
                    oli perez
                    El administrador como planeador y estratega
                    Dulce Pérez
                    Movimiento Rectilíneo Uniformemente Acelerado
                    Galo Ramos
                    Glosario de Cinemática de la partícula
                    Fernando Torrez