MOVIMIENTO CIRCULAR

Description

movimiento circular
Rocio Casas
Mind Map by Rocio Casas, updated more than 1 year ago
Rocio Casas
Created by Rocio Casas about 10 years ago
128
3

Resource summary

MOVIMIENTO CIRCULAR
  1. Definición
    1. es el que se basa en un eje de giro y radio constante, por lo cual la trayectoria es una circunferencia. Si además, la velocidad de giro es constante (giro ondulatorio), se produce el movimiento circular uniforme, que es un caso particular de movimiento circular, con radio y centro fijos y velocidad angular constante.
    2. Conceptos
      1. Eje de giro: es la línea recta alrededor de la cual se realiza la rotación, este eje puede permanecer fijo o variar con el tiempo pero para cada instante concreto es el eje de la rotación (considerando en este caso una variación infinitesimal o diferencial de tiempo). El eje de giro define un punto llamado centro de giro de la trayectoria descrita (O).
        1. Arco: partiendo de un centro fijo o eje de giro fijo, es el espacio recorrido en la trayectoria circular o arco de radio unitario con el que se mide el desplazamiento angular. Su unidad es el radián (espacio recorrido dividido entre el radio de la trayectoria seguida, división de longitud entre longitud, adimensional por tanto).
          1. Velocidad angular: es la variación del desplazamiento angular por unidad de tiempo (omega minúscula, \omega).
            1. Aceleración angular: es la variación de la velocidad angular por unidad de tiempo (alfa minúscula, \alpha).
      2. Paralelismo entre el movimiento rectilíneo y el movimiento circular
        1. A pesar de las diferencias evidentes en su trayectoria, hay ciertas similitudes entre el movimiento rectilíneo y el circular que deben mencionarse y que resaltan las similitudes y equivalencias de conceptos y un paralelismo en las magnitudes utilizadas para describirlos
        2. Periodo o frecuencia
          1. El período indica el tiempo que tarda un móvil en dar una vuelta a la circunferencia que recorre. Se define como:
            1. La frecuencia es la inversa del periodo, es decir, las vueltas que da un móvil por unidad de tiempo. Se mide en hercios o s-1
            2. Aceleración y fuerza centrípeta
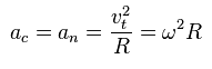
              1. La aceleración centrípeta, también llamada normal o radial, afecta a un móvil siempre que éste realiza un movimiento circular, ya sea uniforme o acelerado. Se define como:
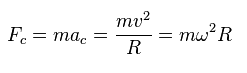
                1. La fuerza centrípeta es la fuerza que produce en la partícula la aceleración centrípeta. Dada la masa del móvil, y basándose en la segunda ley de Newton (\vec {F} = m \vec {a}) se puede calcular la fuerza centrípeta a la que está sometido el móvil mediante la siguiente relación
                Show full summary Hide full summary

                Similar

                Cinematica
                Ague G.A
                MOVIMIENTO CIRCULAR
                Leidy Salazar
                Test sobre cinemática MRU MRUV
                Wilber Edison QUISPE ONCEBAY
                Psicomotricidad
                Annia Pedreira
                Los movimientos de la tierra mapa conceptual
                ricardo montero
                EXPRESIÓN CORPORAL
                Zhandra Mhila Guerrero Calderon
                Test Básico de Física
                ediaz_sscc
                MODELO ATÓMICO DE DEMÓCRITO
                Noelia Pérez Guerrero
                SISTEMA MUSCULAR
                Marisol zuñiga
                Beneficios del baile en los niños
                Karlton LACEY-Butler
                CAÍDA LIBRE Y MOVIMIENTO PARABOLICO
                andres5music4