null
US
Sign In
Sign Up for Free
Sign Up
We have detected that Javascript is not enabled in your browser. The dynamic nature of our site means that Javascript must be enabled to function properly. Please read our
terms and conditions
for more information.
Next up
Copy and Edit
You need to log in to complete this action!
Register for Free
3317510
MOVIMIENTO CIRCULAR
Description
QUINTO MAPA
No tags specified
movimiento
circular
fisica
Mind Map by
John Jairo Hernandez
, updated more than 1 year ago
More
Less
Created by
John Jairo Hernandez
over 10 years ago
31
0
0
Resource summary
MOVIMIENTO CIRCULAR
SEGUNDA LEY DE NEWTON PARA UNA PARTÍCULA EN MOVIMIENTO CIRCULAR UNIFORME
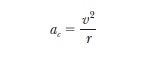
FUERZA QUE CAUSA ACELERACIÓN CENTRÍPETA
MOVIMIENTO CIRCULAR NO UNIFORME
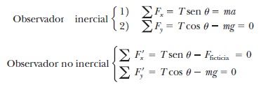
MOVIMIENTO EN MARCOS ACELERADOS
FUERZA FICTICIA
FUERZA REAL
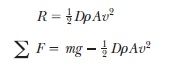
MOVIMIENTO EN PRESENCIA DE FUERZAS RESISTIVAS
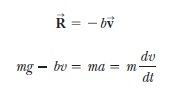
MODELO 1. FUERZA RESISTIVA PROPORCIONAL A LA VELOCIDAD DEL OBJETO
MODELO 2. FUERZA RESISTIVA PROPORCIONAL A LA RAPIDEZ AL CUADRADO DEL OBJETO
Media attachments
94e7097b-68c1-495b-9b78-1a75cbed2229 (image/jpg)
b30b14f5-eb11-4c28-8101-d05f6c53037a (image/jpg)
2cf31b78-a5b0-466e-922f-7461d9e5cf49 (image/jpg)
566c6fe8-10fc-4590-b873-4caaa1811cf5 (image/jpg)
9317dcc0-8b7a-4919-b8dd-7862a2245bef (image/jpg)
a13d6eb3-1da9-45a3-b480-b42066174d0b (image/jpg)
Show full summary
Hide full summary
Want to create your own
Mind Maps
for
free
with GoConqr?
Learn more
.
Similar
Método científico
Carlos Eduardo Solano González
Cinematica
Ague G.A
Cinemática
maya velasquez
La Ley de la Gravedad
maya velasquez
Segunda Ley de la Termodinámica
Virginia León
ONDAS
ROSA MARIA ARRIAGA
Fuerzas, leyes de Newton y ley de la gravitacion universal.
Omar Vazquez Flores
Mapa Mental Fisica
Daniela QuinTero
Métodos gráficos para sistemas de fuerzas
Andres Alberto Dranuta
FUENTES DE ENERGÍA
Alba Guzman
Ramas de la hidráulica
johanna jimenez
Browse Library