null
US
Sign In
Sign Up for Free
Sign Up
We have detected that Javascript is not enabled in your browser. The dynamic nature of our site means that Javascript must be enabled to function properly. Please read our
terms and conditions
for more information.
Next up
Copy and Edit
You need to log in to complete this action!
Register for Free
33263689
Números índices
Description
Principales fórmulas para números índices
No tags specified
estadistica
numeros
indices
laspeyres
paasche
fischer
metodo
ponderación
matemáticas
primero
Mind Map by
Jesus Sanchez
, updated more than 1 year ago
More
Less
Created by
Leo González Villa
over 10 years ago
Copied by
Jesus Sanchez
about 4 years ago
3
0
0
Resource summary
Números índices
Índice simple
Índice Compuesto
De precios
Método del promedio simple de relativos
Método del promedio ponderado de ralativos
Método de agregación simple
Método de agregación ponderada
Índice de Laspeyres
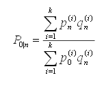
Índice de Paasche
Mètodo del período típico
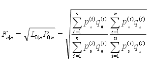
Índice Ideal de Fischer
Annotations:
Satisface la propiedad de inversión temporal y de inversión de factores.
De Cantidad
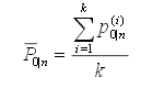
Índice de media aritmética simple de relativos de cantidad
Índice de agregación ponderada de cantidad , ponderados por los precios del PERÍODO BASE
Índice de agregación ponderada de cantidad , ponderados por los precios del PERÍODO DADO
De valor
Agregación simple
Media attachments
a8224ec8-8b06-4295-804c-b58a6797cca4.GIF (image/GIF)
2169763e-bd5a-487f-ae1b-eacde009a43f.GIF (image/GIF)
761652b8-5852-49a4-9580-c5b407610812.GIF (image/GIF)
69ef2450-0e02-4c40-ae0f-6797932d316f.GIF (image/GIF)
309dbb78-4781-401e-9365-3926e225c5c0.GIF (image/GIF)
54245b53-c4a1-498e-8407-43e59a9d1bd7.GIF (image/GIF)
57db5844-f03b-41b0-bf49-eb081cb31b38.GIF (image/GIF)
2c648cd9-45e9-43ab-9fbd-139a4afd5853.GIF (image/GIF)
e93595d1-d982-4fb2-ac05-24a42561a49c.GIF (image/GIF)
3df143d9-f5d7-421b-b481-7d0c5b5b6cee.GIF (image/GIF)
06b3279a-2d77-4d30-acb2-02a31094b2ad.GIF (image/GIF)
d73ce76d-3428-4237-a445-60375d606a87.GIF (image/GIF)
Show full summary
Hide full summary
Want to create your own
Mind Maps
for
free
with GoConqr?
Learn more
.
Similar
Ecuaciones (Primer Grado)
Diego Santos
Fórmulas Geométricas (Perímetros)
Diego Santos
7 Técnicas para Aprender Matemáticas
maya velasquez
Matemáticasen la VidaCotidiana
Diego Santos
FRACCIONES...
JL Cadenas
FRACCIONES...
Ulises Yo
Factorización de expresiones algebraicas_1
Juan Beltran
CÁLCULOS con [ 3 · 5 · 7 ]
JL Cadenas
Preguntas del Pensamiento Matemático
Diego Santos
Factorización de Expresiones Algebráicas
maya velasquez
MAPA MENTAL ESTADISTICA
fidel451
Browse Library