Mercado de Capitales

Description

Mapa mental de Mercado de Capitales
Héctor Hernández4650
Mind Map by Héctor Hernández4650, updated more than 1 year ago More Less
Héctor Hernández4650
Created by Héctor Hernández4650 about 10 years ago
Victor Hugo Pére9071
Copied by Victor Hugo Pére9071 about 10 years ago
Héctor Hernández4650
Copied by Héctor Hernández4650 about 10 years ago
11
0

Resource summary

Mercado de Capitales
  1. Bonos
    1. Instrumento emitido por empresas o gobierno, cuya característica principal es el pago periódico de cupones así como su valor nominal en la fecha de vencimiento.
      1. Clases de bonos
        1. Hipotecarios
          1. Financian la adquisición de vivienda.
          2. Corporativos
            1. Las empresas los utilizan para fondear su expansión o restructuración de deuda.
            2. Gubernamentales
              1. Fondean proyectos de desarrollo de acuerdo al plan de crecimiento de cada plan de gobierno
              2. Tesoreria
                1. Emitidos por el gobierno financiando la operación del mismo.
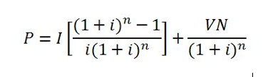
              3. Formula General
                1. Donde: P= Valor del bono (valor presente) I= Cupón (interés) I=ib . VN ib : tasa que ofrece el emisor (tasa cupón) VN: Valor nominal del bono
                2. Clasificación
                3. Acciones
                  1. Título de crédito
                    1. Representa cada una de las partes de Capital Social de la S.A. que la emite
                      1. Emisión en serie o masa
                    2. Accionista
                      1. Adquiere derechos y obligaciones por ley
                        1. Derechos Corporativos
                          1. Participación en asambleas
                            1. Representatividad, voz y voto
                              1. Algunas acciones limitan este beneficio
                            2. Derechos Patrimoniales
                              1. Participación en reparto de utilidades
                                1. Dividendos
                                  1. Nuevas acciones
                              2. Persona fisica o moral
                                1. Mexicanos o extranjeros
                                  1. Existen restricciones para inversión extranjera en determinados sectores
                              3. Valor es igual a:
                                1. Capital Contable / número de acciones en circulación
                                2. Acción tiene vida indefinida, siempre y cuando la emisora exista
                                  1. Acción debe ser especifica
                                    1. Caracteristicas
                                      1. Tipo de Serie
                                        1. A
                                          1. Ordinaria, sólo para mexicanos
                                          2. B
                                            1. Ordinaría, para todos
                                            2. C
                                              1. Ordinaría, restringe derechos a extranjeros
                                              2. CP
                                                1. Certificados Provisionales
                                                2. D
                                                  1. Preferente al pago de dividentos
                                                  2. L
                                                    1. Ordinaria, voto limitado
                                                    2. 1
                                                      1. Ordinaria, sólo mexicanos, parte fija de CS
                                                      2. 2
                                                        1. Ordinarias, sólo para mexicanos, parte variable de CS
                                                    3. Fecha de emisión
                                                  Show full summary Hide full summary

                                                  Similar

                                                  Comunidades Autónomas de España y sus Capitales
                                                  maya velasquez
                                                  Países de Latinoamérica y sus Capitales
                                                  maya velasquez
                                                  BANDERAS de EUROPA...
                                                  JL Cadenas
                                                  Balance de Situación
                                                  Diego Santos
                                                  FINANZAS Y RELACION CON OTRAS CIENCIAS
                                                  Christian Muñoz
                                                  PRINCIPALES INDICADORES DE PRESUPUESTO
                                                  uvitamaz
                                                  Teoria de la Empresa: Produccion y Costos
                                                  Ani Kimori Rosas
                                                  Provincias de España
                                                  Diego Santos
                                                  Economía en los Procesos de Refinación
                                                  Luis Gomes
                                                  Las razones financieras que permiten diagnosticar los estados financieros
                                                  Wilfran Camargo
                                                  características cualitativas de la información financiera útil enunciada en el Decreto 2270 de 2019
                                                  Mati Sanchez