null
US
Sign In
Sign Up for Free
Sign Up
We have detected that Javascript is not enabled in your browser. The dynamic nature of our site means that Javascript must be enabled to function properly. Please read our
terms and conditions
for more information.
Next up
Copy and Edit
You need to log in to complete this action!
Register for Free
3520466
Breve estudio de la presión
Description
La presión se estudia a partir de los fluidos.
No tags specified
densidad
peso
volumen
Mind Map by
John Jairo Hernandez
, updated more than 1 year ago
More
Less
Created by
John Jairo Hernandez
about 10 years ago
37
0
0
Resource summary
Breve estudio de la presión
Concepto de presión
Densidad de un fluido
p= m/v
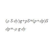
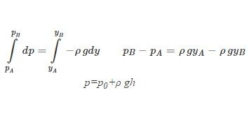
Ecuación fundamental de la estática de fluidos
Medida de la presión
Media attachments
ccf563ec-b27f-47d9-bd04-46dd4400e1b1 (image/jpg)
4e498984-24bf-48e6-b727-78fffbc41b5c (image/jpg)
1f452095-5d06-4e35-80df-d89242940970 (image/jpg)
a5851617-94c4-4102-8217-f99600a4b6f1 (image/jpg)
f5fcc1a9-b04f-4252-b856-8d879f16a6a2 (image/jpg)
5279520b-a0d5-4ef8-a936-53bef017b968 (image/jpg)
Show full summary
Hide full summary
Want to create your own
Mind Maps
for
free
with GoConqr?
Learn more
.
Similar
propiedades de la materia
Maria de Jesus Martinez
II Examen Ciencias II Periodo Tercero
Magaly Rubí Durá
Propiedades Generales de la Materia - 21/Sep/2015
SarsChy
propiedades de la materia
Maria de Jesus Martinez
PROPIEDADES GENERALES DE LA MATERIA
Ana Elena Betancourt Bucheli
EL PORQUE DE LAS MARAVILLAS DEL AGUA
quimicamaravilla
EL PORQUE DE LAS MARAVILLAS DEL AGUA
Tomás Férnandez
TERMOQUIMICA.
morado_purple
Principio de Arquímedes
Luis Matus
Modelo Costo-Volumen-Utilidad
Astrid Carrizales
Propiedades de la materia
clesv uniminuto
Browse Library