oscilaciones

Description

mire
elkin perea
Mind Map by elkin perea, updated more than 1 year ago
elkin perea
Created by elkin perea about 10 years ago
25
0

Resource summary

oscilaciones
  1. Movimiento Armónico Simple
    1. Una partícula describe un Movimiento Armónico Simple (M.A.S.) cuando se mueve a lo largo del eje X, estando su posición x dada en función del tiempo t por la ecuación
      1. Cinemática de un M.A.S.
        1. En un movimiento rectilíneo, dada la posición de un móvil, obtenemos la velocidad derivando respecto del tiempo y luego, la aceleración derivando la expresión de la velocidad. La posición del móvil que describe un M.A.S. en función del tiempo viene dada por la ecuación x=A·sin(ωt+φ)
        2. Dinámica de un M.A.S.
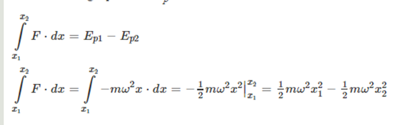
          1. Aplicando la segunda ley de Newton obtenemos la expresión de la fuerza necesaria para que un móvil de masa m describa un M.A.S. Esta fuerza es proporcional al desplazamiento x y de sentido contrario a éste. F=ma=−mω2x Como la fuerza F es conservativa. El trabajo de dicha fuerza es igual a la diferencia entre el valor inicial y el final de la energía potencial Ep.
          2. Curva de energía potencial
            1. La función Ep=12mω2x2 representa una parábola cuyo vértice está en el origen, que tiene un mínimo en x=0 cuyo valor es Ep=0.
        Show full summary Hide full summary

        Similar

        unidades y medidas
        elkin perea
        EXAMEN N° 6
        escuela padic
        6. Performance
        Jose Antonio Vazquez
        Capítulo 2: Procedimientos de laboratorio y uso de herramientas
        Alvaro Gomez
        capitulo 7. el juego y la poesia
        jhonatan vargas
        ESTILO DE LIDERAZGO
        Luna Perez
        Unión General de Trabajadores
        Alba Rodríguez Cobos
        OSCILACIONES FORZADAS
        Jeronimo Contrer
        Fenómenos Ondulatorios
        Romina Escribano
        PUEBA
        jtafolla