ENERGIA DE UN SISTEMA

Description

Mapa mental fisica
angelitaroja2009
Mind Map by angelitaroja2009, updated more than 1 year ago
angelitaroja2009
Created by angelitaroja2009 about 10 years ago
36
0

Resource summary

ENERGIA DE UN SISTEMA
  1. TRABAJO
    1. Hecho en donde se produce un cambio en la configuracion de un sistema venciendo las fuerzas oponentes
      1. Todo aquello que ejersa un trabajo sobre un cuerpo debe aplicar una fuerza y mover el objeto
        1. La fuerza no debe ser necesariamente constante, lo importante es que esta sea aplicada en la direccion del desplazamiento
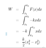
    2. TRABAJO REALIZADO POR UN RESORTE
      1. Resorte
        1. Es un objeto que ejerce una fuerza sobre una masa la cual es proporcional a la distancia, a mayor longitud de elongación del resorte, mayor sera la fuerza del resorte en dirección contraria a la del movimiento
      2. LEY DE HOOKE
        1. Dice que el alargamiento unitario que ejerce un material elastico es directamente proporcional a la fuerza aplicada siendo el alargamiento la longitud original
          1. ECUACION
            1. F(x)= .Kr
              1. K es la constante de proporcionalidad del resorte, la cual determina como cambia la fuerza con rekacion a la distancia
                1. X es la distancia recorrida a partir de su posición de equilibrio
                  1. El signo menos significa que la fuerza se opone a la direccion del movimiento
        Show full summary Hide full summary

        Similar

        CANTIDAD DE MOVIMIENTO LINEAL Y COLISIONES
        angelitaroja2009
        DINAMICA DE FLUIDOS
        angelitaroja2009
        BREVE ESTUDIO DE LA PRESION
        angelitaroja2009
        CONSERVACION DE LA ENERGIA
        angelitaroja2009
        Principales aspectos del desarrollo en la Adultez temprana, adultez media y adultez tardía.
        flcorrecha
        Consejos Prácticos para el Instructor
        Joanah García
        HABILIDADES DE NEGOCIACION
        Johana Calle
        Psicología Evolutiva.
        franklin leonardo correcha
        PRINCIPIOS FUNDAMENTALES DEL DERECHO PROCESAL
        Diego Sanmiguel
        TEJIDOS ARTIFICIALES
        Alejandra Escobar
        EVALUACIÓN INSTITUCIONAL
        pmendoz3