CLASIFICACIÓN DE LOS TRIANGULOS

Description

tarea
ken93leo6
Mind Map by ken93leo6, updated more than 1 year ago
ken93leo6
Created by ken93leo6 about 10 years ago
240
0

Resource summary

CLASIFICACIÓN DE LOS TRIANGULOS
  1. TRIANGULO ISOCELES
    1. -Tiene dos lados iguales comparten la misma longitud, mientras que el tercer lado es desigual
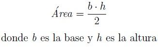
      1. FORMULA DEL ÁREA:
        1. FORMULA DEL PERÍMETRO: 2 x a + b SIENDO a UNO DE LOS LADOS REPETIDOS Y b EL OTRO LADO
          1. EJEMPLO: Sea un triángulo isósceles con dos lados iguales, a=3 cm y un lado diferente deb=2 cm.¿Cuál es su perímetro? calcular su perímetro sumamos el lado repetido multiplicado por dos más el lado desigual, es decir PERÍMETRO: 2 x a + b = 2 x 3 + 2 = 8 cm
    2. TRIANGULO ESCALENO
      1. -TIENE SUS TRES LADOS CON DIFERENTES LONGITUDES. -SUS ANGULOS NO TIENEN LA MISMA MEDIDA.
        1. ÁREA:
          1. PERIMETRO: L+L+L
            1. Sea un triángulo escaleno de costados conocidos, siendo éstos a=2 cm, b=4 cm y c=3 cm. ¿Cuál es su área? Ésta se calcula mediante la fórmula de herón. Antes de todo calcularemos el semiperímetro s: Cálculo del semiperímetro de un triángulo escaleno para obtener su área. Sabiendo el semiperímetro, aplicamos la fórmula de herón: Cálculo del área de un triángulo escaleno. Y se obtiene que su área es 2,9 cm2.
      2. TRIANGULO EQUILATERO
        1. -TIENE TRES LADOS IGUALES POR LO QUE TIENEN LA MISMA LONGITUD. -SUS ANGULOS MIDEN 60° GRADOS.
          1. AREA:
            1. PERIMETRO: L+L+L
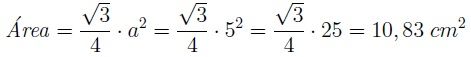
              1. EJEMPLO: Sea un triángulo equilátero con todos los lados iguales de longitud a=5 cm. ¿Cuál es su área? Aplicando la fórmula anterior:
        2. TRIANGULO RECTANGULO
          1. -TIENE UN TRIANGULO RECTO DE 90° GRADOS. - TIENE SUS OTROS DOS LADOS SIEMPRE SERÁN AGUDOS (MENOS DE 90° GRADOS.
            1. ÁREA: a x b / 2 siendo b la base y a el lado que coincide con la altura
              1. PERIMETRO: a + b + c
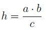
                1. ALTURA: h (o hc) puede obtenerse conociendo los tres lados del triángulo rectángulo
          2. TRIANGULO ACUTANGULO
            1. -TIENE SUS TRES LADOS CON DIFERENTES MEDIDAS LOS CUALES SUS ANGULOS MIDEN MENOS DE 90°GRADOS Y SON AGUDOS
              1. El área del triángulo ADC es igual a imagen 2 El área del triángulo DBC es igual a imagen 3 Por lo tanto, el área del triángulo ABC será igual a: imagen 9 en que c es la longitud del lado AB.
                1. PERIMETRO: A + B + C
            2. TRIANGULO OBTUSANGULO
              1. -TIENE UN ANGULO MAYOR A 90° GRADOS -TIENE DOS ÁNGULOS QUE MIDEN MENOS DE 90° GRADOS
                1. El área del triángulo CDB es igual a imagen 7 El área del triángulo CDA es igual a imagen 8 Por lo tanto, el área del triángulo ABC será igual a: imagen 9
                  1. PERÍMETRO: A +B + C
              2. NOMBRE : KARLA BELEN RAMIREZ BLANCAS . PROFESORA: MARIA TERESA FRUTOS. GRADO Y GRUPO:2°3 EPOAN 4
                Show full summary Hide full summary

                Similar

                los triángulos
                Jackeline Antay Vargas
                clasificacion de los triangulos
                Mariela Dominguez
                CLASIFICACIÓN DE LOS TRIÁNGULOS
                Anthony Serrano