Análisis de Estructuras

Description

Mapa mental sobre los contenidos de la fase 3
MARLON AMIN RUEDAS
Mind Map by MARLON AMIN RUEDAS, updated more than 1 year ago More Less
José Antonio Paz Parra
Created by José Antonio Paz Parra almost 5 years ago
MARLON AMIN RUEDAS
Copied by MARLON AMIN RUEDAS over 3 years ago
4
0

Resource summary

Análisis de Estructuras
  1. Tipos y Características de las Estructuras
    1. tipos
      1. Pratt, Howe, Fink
      2. Armaduras para Puentes
        1. Pratt, Howe, Warren, Baltimore, K
        2. elementos constitutivos de una Armadura
          1. métodos para el análisis de estructuras
            1. Método de los Nodos
              1. Método de las Secciones se divide la armadura en dos partes, de modo que la línea de separación corte tres barras. Aplicando el principio de fragmentación, se sustituye una de las dos partes por las fuerzas de reacción vincular equivalentes (en este caso, fuerzas a lo largo de los miembros de la armadura)
            2. Centroides, Momentos de Inercia y Fricción
              1. Centros de Gravedad
                1. Centroides de Áreas
                  1. Momento de Inercia de un Área
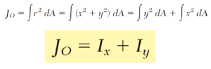
                    1. Momento Polar de Inercia
                      1. Radio de Giro de un Área
                        1. Producto de inercia
                        Show full summary Hide full summary

                        Similar

                        Reconocimiento de curso
                        Alejandro Herrera
                        ESTÁTICA
                        DOCS LU
                        2020 I Periodo 16-01 Curso 212019-26-Willinton Ramos Hernandez
                        Willinton Ramos Hernandez
                        Unidad 1_Estática
                        Hugo Alexander Orozco Correa
                        Unidad 1 Fase 3 Análisis del diseño
                        Hector Javier Arango Ortiz
                        Unidad 1 Fase 3 Análisis del diseño
                        YANET CASTELLANOS
                        Unidad 1 Fase 3 Análisis del diseño - jaiime Ramirez
                        Jaime Ramirez Rojas
                        Unidad 1 Fase 3 Análisis del diseño - José Paz
                        Edgar Steven Gonzalez Mendoza
                        Unidad 1 Fase 3 Análisis del diseño - José Paz
                        giovanni andres torres
                        Fase 3 Análisis del diseño - July Arenas.
                        July Arenas