Los números reales

Description

Tema 1 los números reales
Tech 4 You
Mind Map by Tech 4 You, updated more than 1 year ago
Tech 4 You
Created by Tech 4 You about 10 years ago
1578
19

Resource summary

Los números reales
  1. Racionales
    1. Enteros
      1. Negativos
        1. -54,-3
        2. Naturales
          1. 44,69
        3. Fraccionarios
          1. 3/4,17/12
        4. Irracionales
          1. π,√2
          2. La recta real
            1. Valor absoluto

              Annotations:

              • Es el mismo número si es positivo y el opuesto si es negativo. Se indica I -3 I
              1. Distancia

                Annotations:

                • Valor absoluto entre su diferencia. d(a,b)= I b-a I
                1. Intervalos

                  Attachments:

                  1. Entornos
                    1. El entorno reducido se emplea cuando se quiere saber qué pasa en las proximidades del punto, sin que interese lo que ocurre en dicho punto. E r*(a) = { x pertenece (a-r, a+r), x ≠ a}
                      1. El entorno de centro a y radio r, y se denota por Er(a) o E(a,r), al intervalo abierto (a-r, a+r). Er(a) = (a-r, a+r)
                    2. Aproximaciones y errores
                      1. Parte entera
                        1. mayor número entero menor o igual a dicho número
                          1. 7,48= 7
                        2. Parte decimal
                          1. un número decimal sin su parte entera
                            1. 7,48= 0,48
                          2. Aproximaciones

                            Annotations:

                            • por exceso: valor aproximado es mayor que el número por defecto: valor aproximado es menor que el número cifras significativas: se utilizan para expresar un número aproximado
                            1. Redondeo
                              1. Reducir el número de cifras manteniendo un valor parecido. Ejemplo: 73 redondeado a la decena más cercana es 70
                              2. Truncamiento
                                1. Se eliminan las cifras directamente. Ejemplo: 5,73482 truncado a dos cifras decimales es 5,73
                              3. Errores
                                1. Absoluto
                                  1. valor absoluto de la diferencia entre el número exacto y su aproximación
                                  2. Relativo
                                    1. cociente entre error absoluto y valor exacto
                                  3. Notación científica
                                    1. consiste en expresar un número como producto de un número decimal y una potencia de base 10 de forma que la parte entera del número decimal esté comprendida entre 1 y 9.
                                  4. Sucesiones
                                    1. Sucesión de un número real
                                      1. conjunto de números reales ordenados, cada número ocupa un lugar
                                      2. Términos de la sucesión
                                        1. cada uno de los números que forman la sucesión, representados por una letra con subíndice numérico que indica el lugar del término
                                        2. Término general de una sucesión
                                          1. fórmula que relaciona el lugar n que ocupa cada término con su valor
                                        3. Radicales
                                          1. operaciones con radicales
                                            1. Suma y resta de radicales
                                              1. se saca factor común el radical semejante de todos los términos
                                              2. Producto y cociente de radicales
                                                1. PRODUCTO de dos radicales del mismo índice es otro radical del mismo índice, y de radicando, el producto de los radicandos
                                                  1. COCIENTE de dos radicales del mismo índice es otro radical del mismo índice, y de radicando, el cociente de los radicandos
                                                  2. Potencia y raíz de un radical
                                                    1. La POTENCIA de un radical es igual al radical de la potencia
                                                      1. La RAÍZ de un radical es otro radical de índice el producto de los índices, y de radicando el mismo.
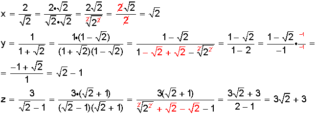
                                                    2. Racionalización
                                                      1. consiste en eliminar los radicales del denominado, transformando la expresión en otra equivalente
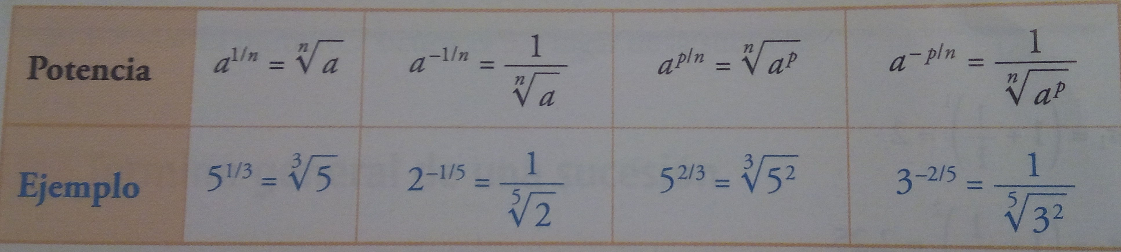
                                                      2. Relación en la escritura entre potencias y radicales
                                                        1. Una potencia de exponente fraccionario es igual a un radical cuyo índice es el denominadores exponente y cuyo radicando es la base elevada al numerador del exponente.
                                                      3. Logaritmos
                                                        1. El logaritmo de un número, en una base dada, es el exponente al cual se debe elevar la base para obtener el número.
                                                          1. propiedades de los logaritmos
                                                          Show full summary Hide full summary

                                                          Similar

                                                          Sucesiones Aritméticas
                                                          Elaine del Valle
                                                          Aplicaciones de las derivadas
                                                          Marta Arroyo
                                                          EXAMEN DE MATEMÁTICAS 1ER GRADO SECUNDARIA 5to Bim
                                                          FELIPE SOLTERO
                                                          Matemáticasen la VidaCotidiana
                                                          Diego Santos
                                                          Ecuaciones Estadísticas
                                                          Diego Santos
                                                          FRACCIONES...
                                                          JL Cadenas
                                                          Ejemplos de Preguntas de Pensamiento Analítico
                                                          Raúl Fox
                                                          OPERACIONES CON POLINOMIOS
                                                          Leticia Pérez Nicolás
                                                          FRACCIONES...
                                                          Ulises Yo
                                                          Números Racionales - Parte 1
                                                          Samuel Campos Cid
                                                          Tablas (1) del 0, 1, 2, 3, 4, 5, 6, 7, 8, 9 y 10
                                                          Miguel Greciano