null
US
Sign In
Sign Up for Free
Sign Up
We have detected that Javascript is not enabled in your browser. The dynamic nature of our site means that Javascript must be enabled to function properly. Please read our
terms and conditions
for more information.
Next up
Copy and Edit
You need to log in to complete this action!
Register for Free
3724834
METODO PERT
Description
metodo pert
No tags specified
metodos
pert
cuantitativos
Mind Map by
Kati “Cup of tea
, updated more than 1 year ago
More
Less
Created by
Kati “Cup of tea
about 10 years ago
150
0
0
Resource summary
METODO PERT
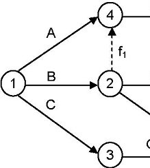
Representación gráfica de una red de tareas, que, cuando se colocan en una cadena, permiten alcanzar los objetivos de un proyecto.
Elementos
Tareas
representadas por una flecha. Se le asigna a cada una de las tareas un código y una duración.
inicio y el final de la tarea
están numeradas y representadas por un círculo,
Tareas ficticias
representadas por una flecha punteada que indica las limitaciones de las cadenas de tareas entre ciertas etapas.
Etapa preliminar
Desglose preciso del proyecto en tareas,
Cálculo de la duración de cada tarea
Designación de un director del proyecto
Media attachments
16767faa-33f5-4541-9a96-f9c734a041bd (image/png)
8d98cd35-21d8-481f-abbb-f8657a67b190 (image/png)
8c05e500-7eac-4e8b-8507-4b8c0f0fccf0 (image/png)
155cb736-826b-433e-bf31-4c96945c8cd9 (image/png)
Show full summary
Hide full summary
Want to create your own
Mind Maps
for
free
with GoConqr?
Learn more
.
Similar
METODO PERT
Mon Posa
didactica
andrea monjes
Métodos anticonceptivos
Sara Donado
INTELIGENCIA POLICIAL Y MÉTODOS DE INVESTIGACIÓN
VERONICA TAPIA
METODOS DETERMINISTICO
Claudia Rocio Diaz Ramirez
Remuneración.
Sergio Pinzon
EL JUEGO
Romina Peña Pérez
Definición de Enfoques Cualitativo, Cuantitativo y Mixto
solitario07
METODOS PARA RESOLVER ECUACIONES SIMULTANEAS
José Juan Luna Ortega
Metodología PERT-CPM
Fernando HM
MÉTODOS ANTICONCEPTIVOS
Jhanet Llanos
Browse Library