null
US
Sign In
Sign Up for Free
Sign Up
We have detected that Javascript is not enabled in your browser. The dynamic nature of our site means that Javascript must be enabled to function properly. Please read our
terms and conditions
for more information.
Next up
Copy and Edit
You need to log in to complete this action!
Register for Free
3725248
Método CPM
Description
Método CPM
No tags specified
métodos
cpm
clase
Mind Map by
gerard.phanie
, updated more than 1 year ago
More
Less
Created by
gerard.phanie
about 10 years ago
196
0
0
Resource summary
Método CPM
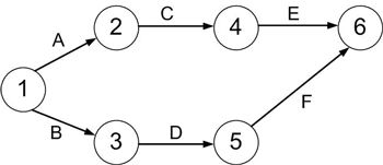
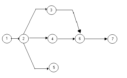
Es frecuentemente utilizado en el desarrollo y control de proyectos. El objetivo principal es determinar la duración de un proyecto
Caracterìsticas
1. Especificar las actividades individuales.
2. Determinar la secuencia de esas actividades.
3. Dibujar un diagrama de la red.
5. Identificar la trayectoria crítica (la trayectoria más larga a través de la red)
4. Estimar la época de la terminación para cada actividad.
6. Poner al día el diagrama del CPM
Media attachments
3d591a76-7a68-4b12-9394-3f373b88f802 (image/jpg)
c7804424-014a-4ca8-9cf7-d1d3a5b9363d (image/png)
bc17ec92-c4cc-4bbe-977c-5c87c53b9f56 (image/jpg)
bb0ee40b-2bad-44b4-89de-654a587abcfb (image/png)
5dd3bb35-deb5-4d7e-ab88-ed6671223655 (image/png)
7b7d265f-9c0b-44af-800e-d7baf6531df8 (image/png)
Show full summary
Hide full summary
Want to create your own
Mind Maps
for
free
with GoConqr?
Learn more
.
Similar
Sistema de ecuaciones
MaruGonzalez
Examen informática
Cova M
ANÁLISIS DE DATOS EN LA INVESTIGACIÓN CUALITATIVA
Johanna Morales Genecco
Alemán A1 - In der Kurs
miren_arana
¡Test de nivel de francés oficial! Blog de la Traducción y de los Idiomas.
Julien Bourdeau
Tipos de investigación académica
Patricio Sevilla
¡Test de nivel de francés oficial!
Diego Santos
Fines de la tecnología y la ciencia
Karen Soto9549
Crea un mapa mental
l.marta
10 Usos para los Mapas Mentales Antes, Durante y Después de Clase
maya velasquez
TEST MOTIVACIÓN ÍNTRINSECA
Andrea Alejandra6829
Browse Library