MOVIMIENTO OSCILATORIO

Description

CONOCER MAS SOBRE EL TEMA DE MOVIMIENTO OSCILATORIO
Hilda Neira
Mind Map by Hilda Neira, updated more than 1 year ago
Hilda Neira
Created by Hilda Neira about 10 years ago
23
0

Resource summary

MOVIMIENTO OSCILATORIO
  1. Es un movimiento entorno a un punto de equilibrio estable. Un ejemplo claro es la tierra cada año vuelve a su posicion
    1. MOVIMIENTO DE UN OBJETO UNIDO A UN RESORTE
      1. cuando el objeto se desplaza a una posición x, el resorte ejerce sobre el objeto una fuerza que es proporcional a la posición y se conoce por la ley de Hooke Fs =
      2. PARTICULA EN MOVIMIENTO ARMONICO SIMPLE
        1. es un movimiento periódico de vaivén, en el que un cuerpo oscila de un lado al otro de su posición de equilibrio, en una dirección determinada, y en intervalos iguales de tiempo.
        2. ENERGIA DE OSCILADOR ARMONICO SIMPLE
          1. De estas se desprenden
            1. Energía cinética de un oscilador armónico simple
              1. Energía potencial de un oscilador armónico simple
                1. Energía total de un oscilador armónico simple
              2. COMPARACION DE MOVIMIENTO ARMONICO SIMPLE CON MOVIMIENTO CIRCULAR UNIFORME
                1. un ejemplo para entender.En una locomotora antigua ,el eje impulsor va de atrás para adelante en movimiento oscilatorio, lo que provoca un movimiento circular de las ruedas.
                  1. el movimiento armónico simple a lo largo de una línea recta se puede representar mediante la proyección de movimiento circular uniforme a lo largo de un diámetro de un círculo de referencia.
                  2. EL PENDULO
                    1. Cuerpo sólido que, desde una posición de equilibrio determinada por un punto fijo del que está suspendido situado por encima de su centro de gravedad, puede oscilar libremente, primero hacia un lado y luego hacia el contrario
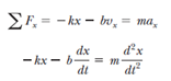
                    2. OSCILACIONES AMORTIGUADAS
                      1. La amplitud de la oscilación disminuye con el tiempo. .
                        1. En el espacio de las fases (v-x) el móvil describe una espiral que converge hacia el origen.
                          1. La energía del oscilador también disminuye, debido al trabajo de la fuerza Fr de rozamiento viscoso opuesta a la velocidad
                            1. OSCILACIONES FORZADAS
                              1. para este caso vamos a tener en cuenta 3 fuerzas que son(la restauradora, la retardadora y la impulsora
                                1. en este tema entraria la impulsadora que es una fuerza externa y que afectara el estado de la oscilacion
                                Show full summary Hide full summary

                                Similar

                                PAST SIMPLE
                                almajannette.soa
                                Simple present tense (Tiempo presente simple)
                                Luis Venegas
                                PROMO 2021 - THIRD PERSON RULES (6 a 7p.m)
                                Miguel Hurtado
                                SIMPLE PAST
                                yulitzamh
                                PAST SIMPLE AND PAST CONTINUOUS
                                Raquel Simón
                                PAST GRAMMAR
                                Ferdaus Bendriss Aftat
                                Presente Simple de las tres formas (Negativo – Afirmativo – Interrogativo).
                                deveca0310
                                PAST SIMPLE AND CONTINIOUS
                                Eric Puga
                                Variables que intervienen en el cálculo del Interés Simple
                                Janitza Palacios Ayala
                                PAST SIMPLE AND PAST CONTINUOUS
                                Alba Montebello Niso
                                TEORÍA DEL VALOR
                                naye_28