MOVIMIENTO ONDULATORIO

Description

Ecuacion de onda
John Jairo Hernandez
Mind Map by John Jairo Hernandez, updated more than 1 year ago
John Jairo Hernandez
Created by John Jairo Hernandez almost 10 years ago
62
1

Resource summary

MOVIMIENTO ONDULATORIO
  1. Propagación de una perturbación
    1. Fuente de perturbación
      1. Un medio que contenga elementos que sean factibles de perturbación
        1. Un mecanismo físico a partir del cual los elementos del medio puedan influirse mutuamente
        2. Modelo de onda progresiva
          1. La onda sinusoidal es el ejemplo más simple de una onda periódica continua y se puede usar para construir ondas más complejas
            1. la longitud de onda es la distancia mínima entre dos puntos cualesquiera en ondas adyacentes
              1. La frecuencia de una onda periódica es el número de crestas (o valles o cualquier otro punto en la onda) que pasa un punto determinado en un intervalo de tiempo unitario
              2. La rapidez de ondas en cuerdas
                1. Rapidez de una onda sobre una cuerda estirada
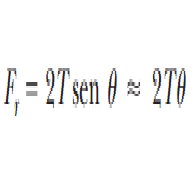
                  1. Segunda ley de Newton en la dirección radial
                    1. La fuerza radial total es
                    2. Reflexión y transmisión
                      1. Reflexión: es cuando el pulso se mueve de regreso a lo largo de la cuerda en la dirección opuesta
                        1. Transmisión: es cuando parte de la energía en el pulso incidente se refleja y se somete a transmisión; es decir: parte de la energía pasa a través de la frontera
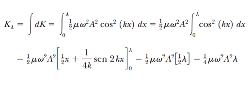
                        2. Rapidez de transferencia de energía mediante ondas sinusoidales en cuerdas
                          1. Energía cinética total
                            1. Potencia de una onda
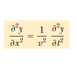
                            2. La ecuación de onda lineal
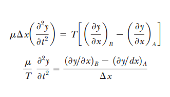
                              1. La fuerza neta que actúa sobre el elemento en la dirección vertical
                                1. Aplicando la segunda ley de Newton al elemento, con la masa del elemento conocido
                                  1. Ecuación de onda lineal para una cuerda
                                    1. Ecuación de onda lineal en general
                                    Show full summary Hide full summary

                                    Similar

                                    TRANSFORMACIONES EN EL PLANO CARTESIANO
                                    lyda gutierrez ulloa
                                    MOVIMIENTO ONDULATORIO
                                    jorge andres granados
                                    PROPIEDADES DE LA LUZ
                                    Roberto Vicente Rodriguez Blanco
                                    Test Prueba COEF 2
                                    Andrés Acuña
                                    Reflexion sobre urbanismo
                                    mila_groso56
                                    Curiosidad y capacidad de asombro
                                    Laura Cristina Grisales Jaramillo
                                    Conceptos_U2_LASR
                                    Luis Sanchez Rivas
                                    evaluación tipo saber - introducción a las ondas
                                    wilquin farid peña scarpetta
                                    EL SENTIDO DE UNA REFLEXIÓN EPISTEMOLÓGICA
                                    1dcarlatello97
                                    Test. Bloque 1 La Descripción del movimiento y la fuerza
                                    Adrian Ibarra
                                    PREGUNTAS GENERADORAS CONOCIMIENTOS PREVIOS
                                    karla alejandra quezada galvan