CENTRALES HIDRAULICAS

Description

MAPA DE CENTRALES HIDRAULICAS
Saul  Torres Padilla.
Mind Map by Saul Torres Padilla., updated more than 1 year ago
Saul  Torres Padilla.
Created by Saul Torres Padilla. almost 10 years ago
45
0

Resource summary

CENTRALES HIDRAULICAS
  1. HIDROSTATICA
    1. TRATA DE
      1. LIQUIDOS EN REPOSO
        1. SE RESPALDA POR
          1. TEOREMA DE PASCAL
            1. TEOREMA DE ARQUIMIDES
              1. CONCEPTOS
                1. 1.Como la masa del libro es 2 kg, su peso es F = 20 newton. Por otra parte, el área de contacto es S = 0,3 m × 0,2 m = 0,06 m2. Luego, reemplazando en [2] encontramos que la presión es: P = 33,3 pascal.
                  1. 2.Cuando empujamos un mueble o a una persona, evidentemente estamos aplicando una fuerza, pero lo que sentimos en nuestras manos al empujar el mueble, y lo que siente la persona cuando la empujamos, es una presión. El dolorcito que sentimos cuando la enfermera nos clava la aguja de una jeringa, también es consecuencia de una gran presión. Estima la presión que se ejerce en alguno de estos casos.
                    1. 3.Aproximadamente qué presión ejerce sobre el suelo una persona que está de pie? Si la masa es de 60 kg, como la del señor de la figura y el área de contacto entre la planta los zapatos y el suelo es 0,012 m2, entonces esta presión es Presión es igual a Fuerza ge, partido por superficie , o Presión es igual a masa por aceleración de gravedad, partido por superficie ; es decir: Cáculo de presión para ejercicio planteado, lo que corresponde a 50.000 pascal. ¿Cómo cambia la presión si la persona levanta uno de sus pies separándolo completamente del suelo?
                  2. 4.Esta importante relación nos dice que la presión que ejerce el líquido en el fondo del recipiente depende solamente de su densidad D, de la altura h de la columna de líquido y de la aceleración de gravedad g del lugar donde se encuentre; es decir, no depende de la forma del recipiente, ni de la superficie del fondo, ni del volumen de líquido.
                    1. 5.se muestran tres vasos que contienen agua hasta el mismo nivel. ¿Cómo es la presión que el agua ejerce en el fondo de cada uno de ellos? Como el líquido, la altura y la gravedad son iguales en los tres casos, la presión también lo es.
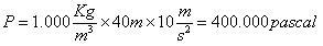
                      1. 6¿Qué presión ejerce el agua en el fondo de un lago de 40 m de profundidad Reemplazando los datos en la expresión [3] tenemos Cálculo de presión para ejercicio planteado.
                    2. 7.Si en un recipiente practicamos orificios en diferentes posiciones, según se ilustra en la figura 40, veremos que por el orificio más bajo, aquel para el cual h es mayor, el chorro de agua sale con mayor rapidez y llega más lejos, lo cual prueba que allí la presión es mayor. Es interesante observar que la fuerza que produce la presión es perpendicular a las paredes del recipiente. Más aún, actúa perpendicularmente a la superficie de cualquier objeto con el que esté en contacto.
                      1. 8.se ilustra un recipiente de forma caprichosa en el cual también hay sumergido un cuerpo cualquiera de forma arbitraria. Por medio de flechas se señala la dirección en que actúa la fuerza en cada punto y las longitudes de las mismas representan la magnitud de las presiones en dichos puntos. Nótese que para alturas o profundidades iguales, las longitudes de las flechas también son iguales. Con esta representación hay que ser cuidadoso pues la presión no es una magnitud vectorial.
                        1. 9.nalicemos el caso de los vasos comunicantes: si en un tubo o manguera con forma de U colocamos agua, esta alcanzará en ambos brazos la misma altura cuando se establezca el equilibrio, es decir, hasta que en cada brazo las presiones sean iguales. Pero si colocamos aceite en uno de los brazos veremos que el sistema queda como se ilustra en la figura
                          1. 10.En estos casos despreciaremos las diferencias de presión atmosférica que existen a diferentes alturas del fluido, así como la presión hidrostática. Para que el camión esté en equilibrio es necesario que las presiones en ambos pistones (A y B) sea la misma; es decir, PA = PB
                2. SU FORMULA
                  1. P IGUAL A d.g.h
              Show full summary Hide full summary

              Similar

              Examen Tercer Parcial
              Josue Arreortua
              CUESTIONARIO FUERZAS Y MOVIMIENTOS
              Wladimir Basantes
              Examen Primer Parcial Física 2
              Josue Arreortua
              Preguntas básicas de Photoshop
              Rosana Mora
              Presion Hidrostatica
              Juan Orellana
              mapa mental
              pache122
              10 fotos impactantes de la migración en Europa
              Crisis en Siria
              ¿Puedo Publicar esta Foto Online?
              Diego Santos
              FOTOS DE TÚNEZ . Se han colado de otros países ¿Sabrás cuáles no son?
              Antonia Ortega López
              ESTADOS UNIDOS. ¿Juegas? ¿ Sabes qué fotos se han colado?
              Antonia Ortega López
              BÉLGICA. ¿Juegas? ¿Sabes qué fotos se han colado de otros países?
              Antonia Ortega López