Logaritmos

Description

Trabajo
fernandom99p
Mind Map by fernandom99p, updated more than 1 year ago
fernandom99p
Created by fernandom99p about 10 years ago
1144
24

Resource summary

Logaritmos
  1. En gráficas
    1. -Son las inversas de los exponenciales. Por tanto, al representarlas son simétricas respecto a la bisectriz.
      1. -El dominio de las exponenciales es el recorrido de lo logaritmos. El recorrido de las exponenciales es el dominio de los logaritmos.
        1. Propiedad 1
          1. P2
            1. P3
        2. Tipos de logaritmos
          1. Base 10= log
            1. Base e= ln
            2. Resolución.
              1. Intento conseguir una base con exponencial igualado a otra base.
                1. Si aplico las propiedades en una ecuación, luego tengo que comprobar si el resultado es correcto (sustituyendo la incógnita).
                  1. Si al sustituir las incógnitas hay un logaritmo negativo la solución no es válida
                    1. Si al sustituir las incógnitas los logaritmos son positivos la solución es válida
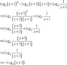
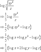
                    2. Cuando hay sumas y restas, solo puedo sumar cosas iguales.
                      1. Separar
                        1. P2
                          1. P3
                          2. Juntar
                            1. P2
                              1. P1
                            2. Aplicaciones
                              1. Para medir terremotos en la escala Riichter
                                1. Para medir el pH
                                  1. Para medir decibelios
                                    1. Para medir la magnitud absoluta
                                      1. En la edad de los fósiles
                                      Show full summary Hide full summary

                                      Similar

                                      Sucesiones Aritméticas
                                      Elaine del Valle
                                      Aplicaciones de las derivadas
                                      Marta Arroyo
                                      EXAMEN DE MATEMÁTICAS 1ER GRADO SECUNDARIA 5to Bim
                                      FELIPE SOLTERO
                                      Matemáticasen la VidaCotidiana
                                      Diego Santos
                                      Ecuaciones Estadísticas
                                      Diego Santos
                                      FRACCIONES...
                                      JL Cadenas
                                      Ejemplos de Preguntas de Pensamiento Analítico
                                      Raúl Fox
                                      OPERACIONES CON POLINOMIOS
                                      Leticia Pérez Nicolás
                                      ORIGEN DE LOS LOGARITMOS
                                      Hugo Fernando
                                      FRACCIONES...
                                      Ulises Yo
                                      Números Racionales - Parte 1
                                      Samuel Campos Cid