Impulso, Cantidad de Movimiento y Choques

Description

FISICA
samuelmalkun
Mind Map by samuelmalkun, updated more than 1 year ago
samuelmalkun
Created by samuelmalkun almost 10 years ago
6489
0

Resource summary

Impulso, Cantidad de Movimiento y Choques
  1. Samuel Malkun
    1. 10 yellow
      1. Se define como P=mv
        1. La ley de la conservación del momento lineal establece que siempre que dos partículas aisladas interactúan entre sí su momento total permanece constante.
          1. Interacción de dos o mas cuerpos mediante una fuerza impulsiva.
            1. P1=P2
              1. Pueden ser:
                1. Inelasticos
                  1. Hay perdida de energía cinetica.
                  2. Perfectamente inelasticos
                    1. Los objetos permanecen juntos.
                    2. Elasticos
                      1. Se conserva la energía cinetica total
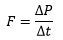
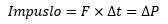
                  3. Cambio en la cantidad de movimiento de un cuerpo.
                    1. En terminos de las leyes de Newton:
                      1. 1ra ley
                          1. Cuando todas las fuerzas son conservativas.
                        1. 2da ley
                          1. 3ra ley
                            1. Unidad en S.I.->N.s
                              1. Se puede determinar como el area bajo la curva en una grafica de Fuerza en N (y) y tiempo en s (x).
                              Show full summary Hide full summary

                              Similar

                              Método científico
                              Carlos Eduardo Solano González
                              Cinemática
                              maya velasquez
                              La Ley de la Gravedad
                              maya velasquez
                              Segunda Ley de la Termodinámica
                              Virginia León
                              Fuerzas, leyes de Newton y ley de la gravitacion universal.
                              Omar Vazquez Flores
                              Mapa Mental Fisica
                              Daniela QuinTero
                              Métodos gráficos para sistemas de fuerzas
                              Andres Alberto Dranuta
                              FUENTES DE ENERGÍA
                              Alba Guzman
                              Ramas de la hidráulica
                              johanna jimenez
                              ELECTROMAGNETISMO
                              sanli_marzer