Tema 3: Medios físicos de transmisión

Description

Tema 3 PAR
CarSanGar
Mind Map by CarSanGar, updated more than 1 year ago
CarSanGar
Created by CarSanGar almost 10 years ago
44
0

Resource summary

Tema 3: Medios físicos de transmisión
  1. 3.1 CARACTERÍSTICAS DE LAS SEÑANES
    1. Amplitud

      Annotations:

      • Valor máximo que da una señal en un intervalo.
      1. Frecuencia

        Annotations:

        • Nº de veces que la señal se repite por segundo. Se expresa en Herzios. f = 1/T
        1. Fase

          Annotations:

          • Indica el intervalo de tiempo que va desde el instante inicial al primer punto donde la señal toma el valor cero.
        2. 3.2 TIPOS DE TRANSMISIÓN
          1. 3.2.2 Modulación
            1. Definición: Señal modulada = Señal portadora + Señal moduladora
              1. Tipos de modulación
                1. M.a + P.a

                  Annotations:

                  • Definición: Transferir la señal analógica a un ancho de banda diferente.
                  1. M.d + P.a

                    Annotations:

                    • Definición: Transmitir la señal digital por un medio de transmisión analógico.
                    1. M.a + P.d

                      Annotations:

                      • Definición: Transmitir la señal analógica a través de una red digital.
                      1. M.d + P.d

                        Annotations:

                        • Definición: Esta técnica intenta modificar las señales digitales en otras más simples que tengan una mayor facilidad para ser transmitidas o permitan una mayor velocidad.
                        1. NRZ
                          1. RZ
                            1. MANCHESTER
                              1. MANCHESTER D.
                          2. 3.2.1 Digital y Analógica
                          3. 3.3 TIPOS DE CABLEADO
                            1. Par sin trenzar paralelo
                              1. Par trenzado
                                1. Cable coaxial
                                  1. Fibra Óptica
                                    1. Medios Inalámbricos
                                      1. Comparativa
                                      2. 3.5 COMPROBACIÓN DEL CABLEADO
                                        1. Aparatos
                                          1. Miden
                                            1. Diafonía
                                              1. Atenuación
                                                1. Longitud
                                                2. Tipos
                                                  1. Comprobadores de continuidad

                                                    Annotations:

                                                    • Comprueban si los cables están en buen estado o presentan algún corte. Ej: Voltímetros, Multímetros digital y Comprobadores.
                                                    1. Comprobadores de cableado

                                                      Annotations:

                                                      • Anterior más comprobación de diafonía, atenuación y ruido.
                                                      1. Reflector de Dominio del Tiempo

                                                        Annotations:

                                                        • Ofrecen comprobaciones avanzadas como: detección de empalmes, nudos, radios de curvatura pronunciados, etc...
                                                    2. Parámetros a comprobar
                                                      1. Continuidad
                                                        1. Mapeado de hilos
                                                          1. Resistencia
                                                            1. Atenuación
                                                              1. Ratio de atenuación a diafonía
                                                                1. Pérdida por retorno
                                                                  1. Diafonía
                                                                    1. Diafonía del extremo cercano
                                                                      1. Diafonía del extremo lejano
                                                                        1. Igualdad de nivel de diafonía del ex.lejano
                                                                        2. Longitud
                                                                      2. 3.4 RUIDO Y CAPACIDAD DE TRANSMISIÓN DE UN MEDIO
                                                                        1. 3..4.1 Problemas en la transmisión
                                                                          1. Atenuación
                                                                            1. Diafonía
                                                                              1. F. Relación Señal-Ruido
                                                                              2. 3.4.2 Capacidad de transmisión
                                                                                1. Un canal ideal T.Nyquist
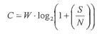
                                                                                  1. Un canal con ruido F.Shannon
                                                                                Show full summary Hide full summary

                                                                                Similar

                                                                                Pares craneales
                                                                                vabsie
                                                                                Tema 3. Medios físicos de transmisión
                                                                                smarin967
                                                                                Desplazamiento de Funciones
                                                                                Madelyn Mendez
                                                                                Suma de números, análisis si es par o impar.
                                                                                Pulamarin Espin Kevin Anthony
                                                                                Tema 1 Sistemas de redes
                                                                                Mario Barón Quintanilla
                                                                                Pares craneales
                                                                                Henry Andrés Morocho
                                                                                Medios físicos de transmisión
                                                                                JOSE ANGEL JURADO MONTAÑEZ
                                                                                Pares craneales
                                                                                Jeky Medina
                                                                                Pares craneales
                                                                                Michelle Puco
                                                                                Pares craneales
                                                                                JOSE DE JESUS