SERIES UNIFORMES O ANUALIDADES

Description

mapa mental sobre series uniformes o anualidades
bepaba08
Mind Map by bepaba08, updated more than 1 year ago
bepaba08
Created by bepaba08 almost 10 years ago
152
0

Resource summary

SERIES UNIFORMES O ANUALIDADES
  1. CARACTERISTICAS
    1. PERIODICAS
      1. DIARIO
        1. SEMANAL
          1. QUINCENAL
            1. ENTRE OTROS
            2. IGUALES
              1. RENTA O PAGO
                1. PERIODO O RENTA
                  1. PLAZO ANUALIDAD
                    1. SEGÚN MOMENTO DE INICIACION
                      1. PERIODO DE GRACIA MUERTO
                        1. NO HAY ABONO NI PAGO
                          1. INTERESES
                            1. CAPITAL
                          2. P.G.CUOTA REDUCIDA
                            1. PAGO
                              1. INTERESES
                                1. NO A CAPITAL
                          3. SEGÚN LOS PAGOS
                            1. VENCIDOS
                              1. ANTICIPADOS
                              2. SEGUN LOS INTERESES
                                1. SIMPLES
                                  1. GENERALES
                                  2. SEGÚN EL TIEMPO
                                    1. ANUALIDADES
                                      1. CIERTAS
                                        1. CONTINGENTES
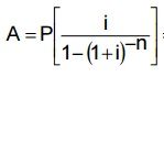
                                    2. VP ANUALIDAD VENCIDA
                                      1. VALOR ANTES
                                        1. A LA FECHA
                                          1. PRIMER PAGO
                                      2. REQUISITOS
                                        1. IGUAL O CONSTANTE
                                          1. PERIODICOS
                                            1. VP Y VF EQUIVALENTES
                                              1. N° PERIODOS = N° PAGOS
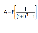
                                              2. ANUALIDAD EN FUNCIÓN VF
                                                1. PERMITE CONOCER
                                                  1. EL VALOR DE LA CUOTA
                                                    1. CONOCIDO EL VF
                                                2. ANUALIDAD EN FUNCIÓN VP
                                                  1. PERMITE CONOCER
                                                    1. EL VALOR DE UNA CUOTA
                                                      1. CONOCIDO EL VP
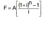
                                                  2. VF ANUALIDAD VENCIDA
                                                    1. UBICADO ULTIMO
                                                      1. FLUJO DE CAJA
                                                        1. CONSTANTE
                                                          1. PERIODICO
                                                      2. TASA I ANUALIDAD VENCIDA
                                                        1. CREDITOS
                                                          1. ELECTRODOMESTICOS
                                                            1. AUTOS
                                                              1. OTROS
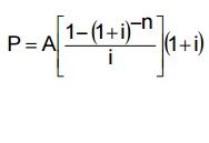
                                                            2. ANUALIDAD ANTICIPADA
                                                              1. PAGA AL INICIO
                                                                1. DE CADA PERIODO
                                                              2. VP ANUALIDA ANTICIPADA
                                                                1. FLUJOS DE CAJA
                                                                  1. INGRESOS
                                                                    1. DESEMBOLSOS
                                                                  2. ANUALIDADES DIFERIDAS
                                                                    1. PRIMER PAGO
                                                                      1. DESPUES DE TRANSFERIDO
                                                                        1. CIERTO NUMERO DE PAGOS
                                                                          1. MUERTO
                                                                            1. NO HAY ABONO NI PAGO
                                                                              1. INTERESES
                                                                                1. CAPITAL
                                                                              2. CUOTA REDUCIDA
                                                                                1. PAGO
                                                                                  1. INTERESE
                                                                                    1. NO A CAPITAL
                                                                        2. ANUALIDAD PERPETUA
                                                                          1. TIENE MUCHOS
                                                                            1. FLUJOS DE CAJA
                                                                              1. INDEFINIDO
                                                                            2. ANUALIDAD GENERAL
                                                                              1. PERIODOS DE PAGO
                                                                                1. NO COINCIDEN
                                                                                  1. CON LO PERIODOS
                                                                                    1. DE INTERES
                                                                              2. PRESENTADO POR: BELLANIT PATIÑO ID 416040
                                                                                1. REFERENCIAS

                                                                                  Annotations:

                                                                                  • Ramirez C; Milton G; Pantoja C; Zambrano A.  (2009).Fundamentos de Matemáticas Finanaciera. Series Uniforme y Anualidades. Recuperado de:file:///C:/Users/BELLANIT/Downloads/MATEMATICAS_FINANCIERAS%20(3).pdf
                                                                                  Show full summary Hide full summary

                                                                                  Similar

                                                                                  SERIES UNIFORMES
                                                                                  OLGA RODRIGUEZ
                                                                                  SERIES UNIFORMES O ANUALIDADES
                                                                                  zpaezrincon
                                                                                  SERIES UNIFORMES O ANUALIDADES
                                                                                  Diana Diaz
                                                                                  SERIES UNIFORMES O ANUALIDADES
                                                                                  jmolanobaut
                                                                                  SERIES UNIFORMES
                                                                                  Hernando Pardo
                                                                                  SERIES UNIFORMES
                                                                                  fabian cañon