CINEMÁTICA

Description

esquema cinematica
Georgina Camps Paradell
Mind Map by Georgina Camps Paradell, updated more than 1 year ago
Georgina Camps Paradell
Created by Georgina Camps Paradell almost 10 years ago
1081
8

Resource summary

CINEMÁTICA
  1. MOVIMIENTO Y SISTEMAS DE REFERENCIA
    1. La MECÁNICA es el estudio del movimiento y sus causas , sobre partículas / móviles ( agente activo con masa y/o carga ) sometidas a fuerzas de interacción de contacto
      1. dento de la mecánica hay la CINEMÁTICA que estudia el movimiento sin atender a sus causas.
        1. SISTEMA DE REFERENCIA
          1. sistema de coordenadas escogido arbitrariamente respecto al observador (agente pasivo del movimiento, situado en el origen de coordenadas) para definir la localización de una partícula.
            1. INERCIAL (ideales) a =0
              1. NO INERCIAL ( reales ) a dif 0
              2. La podemos definir con
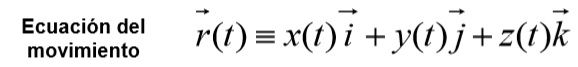
                1. POSICIÓN , DESPLAZAMIENTO Y TRAYECTORIA
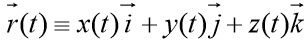
                  1. POSICIÓN
                    1. oordenadas del punto donde se localiza la partícula (P ó P ́), respecto al sistema de referencia escogido (O).
                      1. VECTOR POSICIÓN (magnitud vectorial )
                      2. DESPALAZAMIENTO
                        1. variación que experimenta el vector de posición con el tiempo. (Magnitud vectorial)
                        2. TRAYECTORIA
                          1. variación que experimenta el vector de posición con el tiempo. Magnitud vectorial.
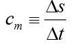
                        3. VELOCIDAD Y CELERIDAD
                          1. CELARIDAS
                            1. magnitud que cuantifica cuán rápido se realiza un determinado trayecto. A mayor celeridad, menor tiempo de recorrido. ( Magnitud escalar )
                            2. VELOCIDAD
                              1. cuantifica rapidez, con dirección y sentido. Magnitud vectorial.
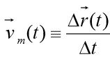
                                1. VELOCIDAD MEDIA ( relación entre la variación del vector posición yel tiempo en que se produce
                                  1. VELOCIDAD INSTANTÁNEA derivada del vector de posición con el tiempo ( Mg vectorial )
                                    1. componentes de la velocidad
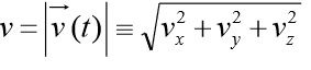
                                      1. módulo de la velocidad
                                        1. dimensiones y unidades SI
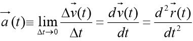
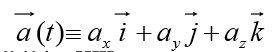
                                      2. ACELERACIÓN (a)
                                        1. para movimientos en los que la velocidad no es constante, mide cómo varía la velocidad con el tiempo.( Magnitud vectorial)
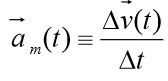
                                          1. A.MEDIA
                                            1. variación del v. velocidad y el tiempo (v. vectorial)
                                            2. A.INSTANTÁNEA
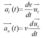
                                              1. derivada del vector velocidad con el tiempo
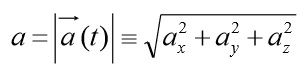
                                              2. COMPONENTES
                                                1. DIMENSIONES Y UNIDADES
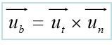
                                                  1. COMPONENTES INTRÍNSECAS ( en una curva , velocidad variable , origen móvil (TRIEDRO INTRÍNSECO )
                                                    1. BINORMAL
                                                      1. NORMAL : Cambios en dirección de la velocidadL
                                                        1. MÓDULO
                                                          1. RADIO DE CURVATURA ( R )
                                                          2. TANGENCIAL : cambios en módulo de la velocidad
                                              3. TIPOS DE MOVIMIENTO
                                                1. MRU
                                                  1. recta , radio de curvatura
                                                    1. velocidad constanstante
                                                    2. MRUA
                                                      1. recta , radio de curvatura
                                                        1. acceleración constante
                                                        2. CAÍDA LIBRE Y LANZAMIENTO VERTICAL
                                                          1. CAÍDA LIBRE : movimiento bajo la acción de la aceleración de la gravedad , sin resistencia del aire.
                                                            1. LANZAIMENTO VERTICAL : aceleración de la gravedad opuesto al de caída libre .
                                                            2. MCU
                                                              1. curva
                                                                1. movimiento uniforme
                                                                  1. a ( normal)
                                                                2. COMPOSICÓN DE MOVIMIENTOS
                                                                  1. 2 o más movimientos actuán , a la vez o sucesivamente , sobre el mismo cuerpo
                                                                    1. El principio de superposición , el movimiento final es la suma vectorial de los movimientos individuales
                                                                      1. MOVIMIENTO PARABÓLICO
                                                                        1. Movimient iniio de un móvil al lanzarlo en la superficie terrestre con una velocidad inicial y un cierto ángulo , dejándolo luego en libertad
                                                                        2. TIRO HORITZONTAL
                                                                          1. caso particular de movimiento parabólico en el que el ángulo de lanzamiento es nulo
                                                                    Show full summary Hide full summary

                                                                    Similar

                                                                    Introducción a la cinemática
                                                                    Marcela Tejada Gil
                                                                    Cinematica-MRU y MRUV
                                                                    Ruth Dias
                                                                    Cinemática
                                                                    maya velasquez
                                                                    FUENTES DE ENERGÍA
                                                                    Alba Guzman
                                                                    CUESTIONARIO DE FÍSICA
                                                                    amam3105
                                                                    Física: Conceptos Básicos
                                                                    maya velasquez
                                                                    Diferencias entre la Química y Física
                                                                    maya velasquez
                                                                    La Ley de la Gravedad
                                                                    maya velasquez
                                                                    Segunda Ley de la Termodinámica
                                                                    Virginia León
                                                                    INTRODUCCIÓN A LA FÍSICA
                                                                    moises silva daza
                                                                    Métodos gráficos para sistemas de fuerzas
                                                                    Andres Alberto Dranuta