TRABAJO Y ENERGIA

Description

MAPA CONCEPTUAL
Georgina Camps Paradell
Mind Map by Georgina Camps Paradell, updated more than 1 year ago
Georgina Camps Paradell
Created by Georgina Camps Paradell almost 10 years ago
186
1

Resource summary

TRABAJO Y ENERGIA
  1. TRABAJO DE UNA FUERZA
    1. es una magnitud para tratar sistemas dinámicos en los que las fuerzas no son constantes
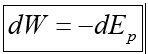
      1. El trabajo es el producto escalar de la fuerza aplicada sobre un móvil y el desplazamiento que ése experimenta . (mg.escalar)
        1. dimensiones y unidades
        2. ENERGÍA . RELACIÓN CON EL TRABAJO
          1. La ENERGÍA es la capacidad que tiene un objeto de producir transformaciones (mecánicas o térmicas ). Si un objeto puede realizar trabajo ,entonces tiene Energía
            1. E.CINÉTICA
              1. Relacionada con los cuerpos de movimiento
                1. la energía , capacidad de producir trabajo
                  1. relacionada con la posición del cuerpo y su interacción a distancia con otros cuerpos
              2. E.POTENCIAL
            2. ENERGÍA CINÉTICA Y TRABAJO . PRIMER TEOREMA DEL TRABAJO -ENERGIA
              1. “El trabajo realizado por una fuerza aplicada sobre cierto cuerpo es igual a la variación de su energía cinética. El trabajo transfiere energía al cuerpo"
                1. energía CINÉTICA (energía ligada al movimiento de las partículas
                  1. TEORMEA DE LAS FUERZAS VIVAS
                2. FUERZAS CONSERVATIVAS Y NO CONSERVATIVAS .ENERGÍA POTENCIAL
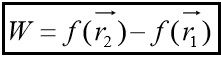
                  1. FUERZAS CONSERVATIVAS
                    1. El trabajo relazado entre 2 puntos depende del punto inicial y final de la trayectoria
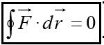
                      1. cuando el cuerpo sobre el que actúa describe una trayectoria cerrada , realiza un trabajo neto = 0
                        1. ej : fuerza gravitatória
                        2. FUERZAS NO CONSERVATIVAS
                          1. disipan la energía del sistema , su trabajo en una trayectoria cerrada no 0.
                            1. ej. fuerza de rozamineto
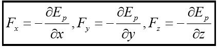
                            2. E.POTENCIAL
                              1. E. asociada con cualquier fuerza conservativa .El trabajo realizado por una fuerza conservativa es igual al cambio de energía potencial cambiado de signo
                                1. E.P.GRAVITATÓRIA
                                  1. Causada por la fuerza de atracción gravitatória entre dos cuerpos .
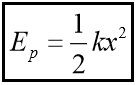
                                  2. E.P.ELÁTICA
                                    1. cauda por la fuerza de recuperación elástica
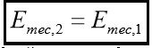
                              2. SEGUNDO TEOREMA DEL TRABAJO - ENERGÍA . CONSERVACIÓN DE LA ENERGÍA MECÁNICA
                                1. “Si sobre un sistema aislado sólo realizan trabajo las fuerzas conservativas, la energía mecánica (cinética y potencial) del sistema permanece constante.”
                                  1. balance de energía
                                2. POTENCIA Y TRABAJO
                                  1. (P) : magnitud que mide la eficacia con que se hace el trabajo ( mg.escalar)
                                    1. P. Media
                                      1. relación entre el trabajo realizado y el tiempo en que se realiza
                                      2. p.Instantánea
                                        1. potencia media para tiempos infinitesimales
                                        2. relación potencia - velocidad
                                          1. DIMENSIONES Y UNIDADES
                                        Show full summary Hide full summary

                                        Similar

                                        Método científico
                                        Carlos Eduardo Solano González
                                        FUENTES DE ENERGÍA
                                        Alba Guzman
                                        Cinemática
                                        maya velasquez
                                        La Ley de la Gravedad
                                        maya velasquez
                                        Segunda Ley de la Termodinámica
                                        Virginia León
                                        Fuerzas, leyes de Newton y ley de la gravitacion universal.
                                        Omar Vazquez Flores
                                        Mapa Mental Fisica
                                        Daniela QuinTero
                                        Métodos gráficos para sistemas de fuerzas
                                        Andres Alberto Dranuta
                                        Ramas de la hidráulica
                                        johanna jimenez
                                        ELECTROMAGNETISMO
                                        sanli_marzer