INTRODUCCIÓN A LA ESTADÍSTICA Y ANÁLISIS DE DATOS

Description

Sacado del libro Quevedo, U. H. A., & Pérez, S. B. R. (2014). Estadística para ingeniería y ciencias. México: Larousse - Grupo Editorial Patria. Colección E-Libro.
Llewelyn Hawke
Mind Map by Llewelyn Hawke, updated more than 1 year ago
Llewelyn Hawke
Created by Llewelyn Hawke almost 10 years ago
261
2

Resource summary

INTRODUCCIÓN A LA ESTADÍSTICA Y ANÁLISIS DE DATOS
  1. Definición
    1. La estadística es el conjunto de métodos utilizados para coleccionar, resumir, organizar, presentar y analizar la información contenida en un conjunto de datos. Obtiene conclusiones válidas y a la toma de decisiones razonables, con base en el análisis de datos.
    2. Tipos de Estadística
      1. Estadística descriptiva. Conjunto de métodos que se utilizan para organizar, clasificar y presentar la información contenida en los datos por medio de gráficas o tablas.
        1. Estadística inferencial. Conjunto de métodos que se utilizan para deducir alguna característica de la población con únicamente información parcial. Se infiere como es la población de donde se obtuvo un subconjunto de datos.
        2. Conceptos básicos
          1. Datos ; Son la materia prima de la estadística, una vez recolectados se hace un análisis de ellos, dependiendo de sus caracteristicas, para obtener la información necesaria.
            1. Variables
              1. Cuantitativas
                1. De intervalo
                  1. De razón
                  2. Cualitativas
                    1. Nominales
                      1. Ordinales
                  3. Población; La población es el conjunto objetivo de estudio o conjunto de unidades de interés
                    1. Muestra, se obtiene como un subconjunto de la población.
                  4. Medidas de tendencia central o de localización
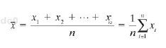
                    1. Media
                      1. Media aritmética. Es el promedio común de los datos.
                      2. Mediana
                        1. Es el valor que se encuentra en el centro cuando se han ordenado los datos. La mediana se denota con la letra M.
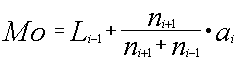
                        2. Moda
                          1. La moda de un conjunto de datos es es el valor que ocurre con más frecuencia.
                        Show full summary Hide full summary

                        Similar

                        MAPA MENTAL ESTADISTICA
                        fidel451
                        BIOESTADISTICA
                        Ad Card
                        Etapas para el inicio de una investigación estadística
                        carlos taramuel
                        PRUEBA DE ESTADÍSTICA GRADO SEPTIMO
                        jennydaza28
                        Conceptos de estadística y probabilidad
                        Diego Santos
                        PRUEBAS ESTADÍSTICA GRADO ONCE
                        jennydaza28
                        Resumen de Selectividad Inglés
                        maya velasquez
                        Etapas de la Historia de España
                        Alba B
                        medidas estadísticas Bivariantes de regresión y correlación.
                        Aleja Vargas
                        Articulaciones y Músculos
                        Paola Mendoza
                        Primera Guerra Mundial.
                        Oswaldo Martinez