Matemática Básica

Description

Todas as funções básicas da matemática para te ajudar a Estudar Online
Tatiane Marinho
Mind Map by Tatiane Marinho, updated more than 1 year ago More Less
Alessandra S.
Created by Alessandra S. almost 10 years ago
Tatiane Marinho
Copied by Tatiane Marinho almost 10 years ago
785
10

Resource summary

Matemática Básica
  1. Operações com frações
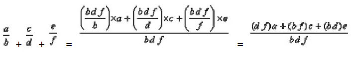
    1. Para 3 ou mais frações o procedimento é o mesmo.
      1. Divisão de frações
        1. Operações com números relativos
          1. -2 + (-3) → -2 – 3 = - 5
            1. +5 – (-8) → 5 + 8 = 11
              1. (-3) 3 = (-3) 2 × (-3) = 9 × (-3) = - 27
              2. Resolução de equações do 1º grau
                  1. 6x + 8 = 26 (subtrai 8 nos dois membros p/ isolar x) 6x + 8 – 8 = 26 – 8 → 6x = 18 → x = 18/6 → x = 3
                1. Equação do 2º grau incompleta (1º tipo)
                    1. Equação do 2º grau completa
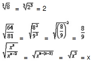
                    2. Radicais
                      1. Exponenciais
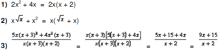
                        1. Propriedade distributiva
                          1. A × (B + C) = A × B + A × C
                            1. (A ± B)(C + D) = (A ± B)(C + D) = A(C + D) ± B(C + D)
                            2. Produtos notáveis (A + B) 2
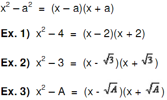
                              1. Diferença de quadrados
                                1. Trinômio ao quadrado
                                  1. Binômio ao cubo
                                    1. Fatoração (tirar fator comum para fora do parênteses)
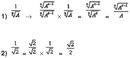
                                      1. Racionalização de expressões numéricas
                                        1. Solução de Equações Irracionais
                                          Show full summary Hide full summary

                                          Similar

                                          Como Estudar Matemática
                                          Alessandra S.
                                          Simulado de Matemática
                                          Alessandra S.
                                          Tabuada
                                          Alessandra S.
                                          Geometria Plana
                                          Bruno Fernandes3682
                                          Simulado Matemática
                                          Marina Faria
                                          Geometria Espacial
                                          nathielecosta
                                          Dicionário de Química
                                          Alessandra S.
                                          Roteiro de Estudo - Matemática
                                          Luiz Fernando
                                          Plano de estudos ENEM - Parte 2 *Exatas/Biológicas
                                          GoConqr suporte .
                                          2a Lei de Mendel
                                          Andrea Barreto M. Da Poça
                                          Geometria Plana Triângulo
                                          Luiz Antonio Lopes