null
US
Sign In
Sign Up for Free
Sign Up
We have detected that Javascript is not enabled in your browser. The dynamic nature of our site means that Javascript must be enabled to function properly. Please read our
terms and conditions
for more information.
Next up
Copy and Edit
You need to log in to complete this action!
Register for Free
4227252
Potencias
Description
Propiedades de las potencias
No tags specified
matemáticas
potencias
propiedades de las potencias
potencias matematicas
operaciones con potencias
potencia elevada a exponente negativo
division de potencias de distinta base y exponente
matemáticas
potencias
Mind Map by
Carla García
, updated more than 1 year ago
More
Less
Created by
Carla García
almost 10 years ago
419
11
0
Resource summary
Potencias
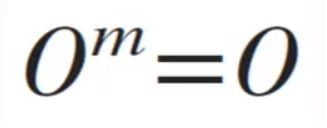
Base 0
Su resultado siempre será 0
Exponente 0
Positivos
Su resultado siempre será 1
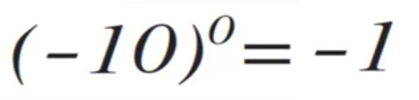
Negativos
Su resultado siempre será -1
Potencias con misma base
Multiplicando
Se suman sus exponentes
Dividiendo
Se restan sus exponentes
Potencia de una potencia
Se multiplican los exponentes
Potencias con mismo exponente
Multiplicando
Se multiplican las bases
Dividiendo
Se dividen las bases
Signos positivos y negativos
Exponente par
Número positivo
Siempre da un número positivo
Número negativo
Siempre da un número positivo
Exponente impar
Número positivo
Siempre da un número positivo
Número negativo
Siempre da un número negativo
Media attachments
861a84d5-103a-4cf8-9198-ff764aee69ba (image/jpg)
090968d5-a0e3-42cb-9ae4-f3d2bdf54bf8 (image/jpg)
65aa3903-ff56-4137-9776-b0a38152107e (image/jpg)
cc6a9b9e-caf3-4c7e-b4c6-2786ae977851 (image/jpg)
086a6686-19d3-4d67-ba07-e3036c1a0f67 (image/jpg)
69f720b2-1a44-454d-a8f4-51127ba6cedf (image/jpg)
f5fa8c0c-1913-4c2b-a689-7700e917db10 (image/jpg)
1e76caab-bd04-4fba-b23e-a20da4ebaff8 (image/jpg)
ead19215-a3ce-403b-b54a-ac680a1f1ca5 (image/jpg)
3247b36f-753d-429e-8b8e-e232daac0e6c (image/jpg)
01e11e3f-05d6-429d-b3fb-2550b9b40f80 (image/jpg)
8e86f219-fc6b-46b2-9810-268130391b27 (image/jpg)
Show full summary
Hide full summary
Want to create your own
Mind Maps
for
free
with GoConqr?
Learn more
.
Similar
Ecuaciones (Primer Grado)
Diego Santos
Fórmulas Geométricas (Perímetros)
Diego Santos
7 Técnicas para Aprender Matemáticas
maya velasquez
Matemáticasen la VidaCotidiana
Diego Santos
FRACCIONES...
JL Cadenas
FRACCIONES...
Ulises Yo
CÁLCULOS con [ 3 · 5 · 7 ]
JL Cadenas
Matrices y Determinantes
Diego Santos
Factorización de expresiones algebraicas_1
Juan Beltran
Preguntas del Pensamiento Matemático
Diego Santos
Factorización de Expresiones Algebráicas
maya velasquez
Browse Library