Step 304 - Sistemes

Description

Sistemas
Mar Y
Mind Map by Mar Y, updated more than 1 year ago
Mar Y
Created by Mar Y almost 10 years ago
27
0

Resource summary

Step 304 - Sistemes
  1. Que són?
    1. La realció amb 2 equacions de 2 incògnites
      1. Nesesitem els sistemes per resoldre aquestes equacions
      2. Métodes de resolució
        1. Substitució
          1. 1- Aïllar una incògnita en una de les equacions
            1. 2- Substituir la incògnita aïllada a la segona equació
              1. 3- Resol l'equació en la que hem substuït
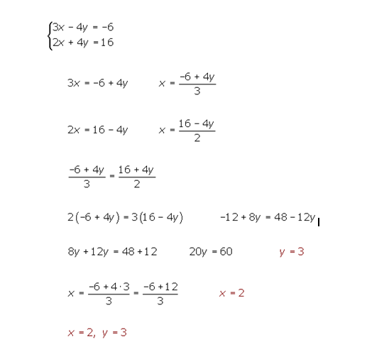
              2. Igualació
                1. 1- Aïllar la mateixa incògnita a les 2 esquacions
                  1. 2- Igualar les dues equacions
                    1. 3- Substituir a qualsevol equació el resultat anterior
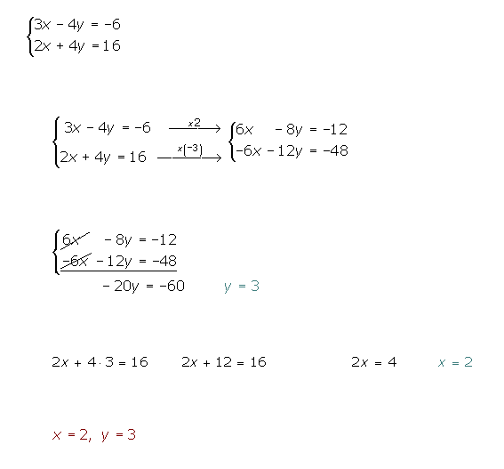
                    2. Reducció
                      1. 1- Fer desaperèixer una de les incognites sumant les equacions. Si no es pot, multiplicar un número a una de les equacions.
                        1. 2- Despejar l'equació anterior i substituir a l'altre equació.
                        2. Graficament
                          1. 1- Despejar les dues equacions.
                            1. 2- Fer una taula de valors amb les equacions despejades
                              1. 3- Representar-ho graficament
                            2. Solucions
                              1. Sistema competible determinat
                                1. Les dues equacions es creuen en un punt exacte
                                2. Sistema competible indeterminat
                                  1. Les dues equacions pasen per la mateixa recta.
                                  2. Sistema incompetible
                                    1. No es creuen mai, son paral·leles
                                  Show full summary Hide full summary

                                  Similar

                                  Matemáticas- Álgebra
                                  dayana burguez
                                  Tablas (1) del 0, 1, 2, 3, 4, 5, 6, 7, 8, 9 y 10
                                  Miguel Greciano
                                  Matemáticas: Operaciones Basicas
                                  slipknothacker
                                  Tablas del 2 y 4, sumas y restas
                                  Miguel Greciano
                                  Tablas del 1, 2 y 4, sumas y restas
                                  Miguel Greciano
                                  SISTEMES D'EQUACIONS
                                  Mariona Miró
                                  Tablas del 1, 2, 4 y 5
                                  Miguel Greciano
                                  Tablas del 1, 2, 3, 4, 5, 6 y 10
                                  Miguel Greciano
                                  Áreas y Volúmenes de Cuerpos Geometricos
                                  Álvaro Barrero
                                  Tablas del 1, 2, 3, 4, 5, 6, 7, 8 y 10
                                  Miguel Greciano
                                  Tablas del 1, 2, 4, 5 y 10
                                  Miguel Greciano