Campo Gravitatorio

Description

Apuntes de 2ºBach de campo gravitatorio
Jimena Mejía
Mind Map by Jimena Mejía, updated more than 1 year ago
Jimena Mejía
Created by Jimena Mejía about 10 years ago
123
5

Resource summary

Campo Gravitatorio
  1. Dinámica del movimiento curvilíneo
    1. Aceleración tangencial
      1. Variación del módulo de la velocidad
      2. Aceleración normal
        1. Variación de dirección y sentido de la velocidad
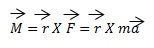
        2. Momento de una fuerza
          1. Lo que posibilita el cambio de movimiento
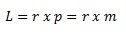
          2. Momento angular
            1. Es la cantidad de movimiento
            2. Teorema del momento angular
              1. La variación del momento angular de una partícula respecto a un punto
                1. Igual
                  1. Momento resultante de las fuerzas que actúan sobre la partícula
            3. Leyes de Kepler
                1. Ley de las orbitas
                  1. Todos los planetas describen órbitas elípticas y el sol se sitúa en uno de los focos
                  1. Ley de las areas
                    1. Los vectores de posición
                      1. Definen la posición de los planetas barren áreas iguales en tiempos iguales
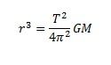
                    1. Ley de los periodos
                      1. Los cuadrados de los periodos
                        1. Son directamente proporcionales a los cubos
                          1. De sus distancias medias al sol
                  2. Leyes de la diámica
                      1. Ley de la inercia
                        1. Un cuerpo no sometido a fuerzas
                          1. Permanece en reposo
                            1. Mueve con movimiento
                              1. Rectilíneo uniforme
                          1. Ley fundamental de la dinámica
                            1. La aceleración de un cuerpo
                              1. Proporcional a la suma de las fuerzas aplicadas
                                1. Inversamente proporcional a la masa del cuerpo
                              1. Ley de acción y reacción
                                1. La fuerza de acción de un cuerpo sobre otro es igual y contraria a la fuerza de reacción del segundo sobre el primero
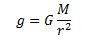
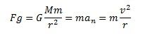
                                1. Ley de gravitación universal
                              2. Definición
                                1. A cada instante
                                  1. Se le puede asignar un valor
                                    1. Para todos los puntos de una región
                                  2. Magnitud
                                    1. Escalar
                                      1. Vectorial
                                    2. Principio de superposición
                                      1. La interacción de un conjunto de masas
                                        1. Suma vectorial de la interacción que producirían cada una por separado
                                      2. Carácter conservativo
                                        1. Es independiente del camino seguido
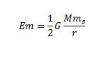
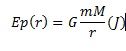
                                        2. Energía potencial
                                          1. De un cuerpo m
                                            1. Respecto a otro de masa M
                                              1. Separados por una distancia r
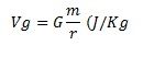
                                          2. Potencial gravitatorio
                                            1. Es la energía potencial
                                              1. De una unidad de masa
                                                1. Colocada en un punto
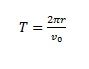
                                            2. Movimiento de un satélite en torno a la tierra
                                              1. Única fuerza
                                                1. Atracción gravitatoria
                                                2. Velocidad
                                                  1. Periodo
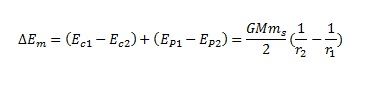
                                                  2. Energía orbital de un satélite
                                                    1. Energía mecánica
                                                      1. Suma de energía
                                                        1. Cinética
                                                          1. Potencial
                                                      2. Energía necesaria para cambiar de órbita un satelite
                                                        1. Require
                                                          1. Un cambio de energía
                                                            1. Potencial
                                                              1. Cinética
                                                          2. Satélite estacionarioa
                                                            1. Localizado
                                                              1. Mismo punto sobre la superficie terrestre
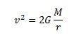
                                                            2. Velocidad de escape
                                                              1. Velocidad necesaria
                                                                1. Para escapar de atracción gravitatoria
                                                              Show full summary Hide full summary

                                                              Similar

                                                              El proceso educativo y sus actores
                                                              GRISELDA PEREZ
                                                              El proceso educativo y sus actores
                                                              GRISELDA PEREZ
                                                              El proceso educativo y sus actores
                                                              GRISELDA PEREZ
                                                              El proceso educativo y sus actores
                                                              GRISELDA PEREZ
                                                              Manofactura
                                                              adriana orjuela
                                                              Mapa Conceptual
                                                              adriana orjuela
                                                              7 Técnicas para Aprender Matemáticas
                                                              maya velasquez
                                                              Las Matemáticas
                                                              maya velasquez
                                                              Organizador Gráfico
                                                              r2p2casa
                                                              Cómo crear un Mapa Mental
                                                              maya velasquez
                                                              Mapa Conceptual
                                                              Laura Perez6723