PROPIEDADES FUNDAMENTALES DE LOS FLUIDOS

Description

mapa mental introduccion a la mecanica de fluidos
Darwin Ramón Rodrigu
Mind Map by Darwin Ramón Rodrigu, updated more than 1 year ago
Darwin Ramón Rodrigu
Created by Darwin Ramón Rodrigu over 9 years ago
4118
1

Resource summary

PROPIEDADES FUNDAMENTALES DE LOS FLUIDOS
  1. INTRODUCCIÓN
    1. fluido es aquella sustancia que, debido a su poca cohesión intermolecular, carece de forma propia y adopta la forma del recipiente que lo contiene
      1. ESTATICA DE FLUIDOS establece las leyes que rigen el comportamiento de los fluidos en reposo
        1. DINAMICA DE FLUIDOS establece las leyes que rigen el comportamiento de los fluidos en movimiento
          1. IDEAL.- incomprensible, densidad constante, con viscosidad
            1. REAL.- comprensible, con viscosidad
            2. los fluidos se clasifican
              1. LIQUIDOS
                1. CARACTERÍSTICAS -- no tienen forma propia pero si volumen -- fluyen bajo la gravedad hasta ocupar las partes mas bajas del recipiente que lo contiene -- las moléculas están muy unidas y ejercen fuerzas entre sí -- sus moléculas forman transitoriamente enlaces que se rompen continuamente y despues vuelven a formarse -- estos enlaces mantienen unido el liquido, si no existieran las moléculas escaparian en forma de vapor
                  1. GASES
                    1. CARACTERÍSTICAS -- no tienen forma propia -- se expansionan indefinidamente -- la distancia medida entre dos moléculas es grande comparada con el tamaño de una molécula -- las moléculas tienen poca influencia entre si excepto durante sus colisiones, frecuentes
                  2. DENSIDAD Y VOLUMEN ESPECÍFICO
                    1. DENSIDAD
                      1. DENSIDAD ESPECÍFICA
                        1. es la masa por unidad de volumen
                        2. DENSIDAD ABSOLUTA
                          1. es absoluta en función de la temperatura y la presión
                      2. PESO ESPECÍFICO
                        1. es el peso por unidad de volumen
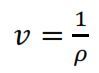
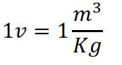
                        2. VOLUMEN ESPECÍFICO
                          1. es el recíproco de la densidad absoluta
                          2. DENSIDAD RELATIVA
                            1. es la relación entre la masa del cuerpo a la masa del mismo volumen de agua destilada a la presión atmosférica y 4°C
                            Show full summary Hide full summary

                            Similar

                            propiedades de los fluidos
                            Marcos Cota
                            Clasificacion de los fluidos
                            Jesus Zavala
                            Propiedades Mecanicas de los fluidos
                            Jesus Zavala
                            ¿Qué es la Hidrostática?
                            Gabriela Orz Gmz
                            Mecánica de fluidos: presión y estática de fluidos
                            chema Fdz
                            Dinámica de fluidos
                            diego zuluaga
                            EVALUACION DE FLUIDOS
                            israelbenavides5
                            Mecánica de Fluidos
                            Oscar Castillo
                            PROPIEDADES DE LOS FLUIDOS
                            Cesar Figueroa
                            FLUIDOS Y SU CLASIFICACIÓN
                            Natanael Celaya Regalado
                            Diapositivas SEMANA 3 ( Fuerzas externas que actúan sobre el líquido)
                            Jor G López