null
US
Sign In
Sign Up for Free
Sign Up
We have detected that Javascript is not enabled in your browser. The dynamic nature of our site means that Javascript must be enabled to function properly. Please read our
terms and conditions
for more information.
Next up
Copy and Edit
You need to log in to complete this action!
Register for Free
5228872
Dynamics and Kinematics Simulation for Robots
Description
Dynamics and Kinematics Simulation for Robots
No tags specified
dynamics simulation
kinematic simulation
matlab
Mind Map by
Johann Andrés Argüello CRUZ
, updated more than 1 year ago
More
Less
Created by
Johann Andrés Argüello CRUZ
over 9 years ago
57
0
0
Resource summary
Dynamics and Kinematics Simulation for Robots
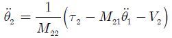
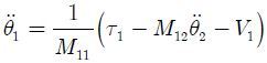
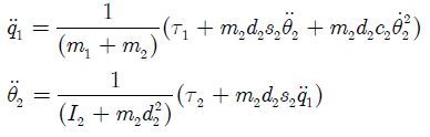
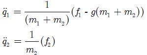
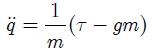
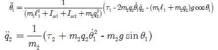
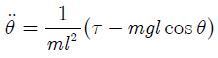
Dynamic Simulation of Robot
Transfer Function equations of motion and to be determined by Lagrange’s method/ Newton’s approach.
R-Robot
P-Robot
3R-Robot
PP-Robot
RP-Robot
PR-Robot
Johann Argüello. Manuela Beltran University Conceptual Map
Santichai Fueanggan, Somchart Chokchaitam. Dept. Electrical and Computer Engineering. Pathumthani, Thailand
Forward Kinematics Simulation of Robots
Robosim2 program the robot structure was designed using the Denavit – Hartenberg transformation
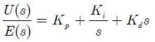
Controller Model
Transfer Function of a PID
System Operation
3 main sections - data input, data processing and result display
Media attachments
0caab9c6-b404-44d2-9c7e-0724d576ac20.JPG (image/JPG)
d48faa38-ad7b-4281-8821-619d4074abd0.JPG (image/JPG)
67c4c8a7-a53a-4586-9e63-eb5f72b87ea7.JPG (image/JPG)
044a5cc0-d552-4045-ae53-7b1e4db3fcf6.JPG (image/JPG)
9d5ce4d5-b9e2-428b-b95b-fc0bf997e019.JPG (image/JPG)
15bac40a-0ee1-42a1-b16d-26a5fdad133b.JPG (image/JPG)
b2fa28ad-587a-4bcc-b8b8-4fabc1d7cddf.JPG (image/JPG)
9a5d13d7-2b2f-4614-b9ef-3f09904ecdb5.JPG (image/JPG)
47311e6f-2a3e-4b42-a01d-59ae17173c7e.JPG (image/JPG)
75e5fdbd-d589-4fbe-bb93-7e19b040f1dc.JPG (image/JPG)
Show full summary
Hide full summary
Want to create your own
Mind Maps
for
free
with GoConqr?
Learn more
.
Similar
MATLAB.
itzyin barron valdez
MatLab
Puppo
MATLAB
Pablo Esteban Salgado Mercado
MATLAB (mapa conceptual)
Jonnathan González Romero
MATLAB "MATrix LABoratory"
Misael Marquez
Tutorial de ecuaciones lineales con Matlab
Judy Maca
MATHLAB EN REDUCCION DE BLOQUES
Jose Emmanuel Chavez Narvaez
Tratamiento de señales
Cristian Medina
SISTEMA DE SIMULACIÓN DE SOTWARE
Zuleth Acevedo Ceseña
Laboratorio Practico 2
Tania Alejand Méndez
MATLAB.
bladimir espino
Browse Library