Calculus

Description

Not completed
L. Eastman
Mind Map by L. Eastman, updated more than 1 year ago
L. Eastman
Created by L. Eastman almost 10 years ago
3353
3

Resource summary

Calculus
  1. Differentiation
    1. The derivative is the instantaneous rate of change of a function with respect to one of its variables.
      1. Rules
        1. Quotient Rule
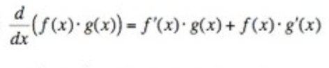
          1. Product Rule
            1. Composition Rule
              1. Addition and Subtraction
              2. Primitive Derivatives
                1. First Principle
                  1. Tests
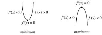
                    1. First Derivative
                      1. Second Derivative
                        1. Inflection Point
                      2. Limits
                        1. Equations and Graph
                          1. Tangent Line
                            1. Differentiate given equation
                              1. Plug in "X" value
                                1. =Slope
                                  1. Replace slope, "x" and "y" in the equation y=mx+c
                                    1. Find "c"
                                      1. State equation
                            2. Normal Line
                              1. Slope= --1/tangent line slope
                                1. Replace slope, "x" and "y" in the equation y=mx+c
                                  1. Find "c"
                                    1. State equation
                                  2. Relation b/w Slope of Tangent and Normal
                                2. Notation f'(a)
                                  1. Relation b/w displacement, Velocity and Acceleration
                                  2. Integrals
                                    1. Indefinite: an integral expressed without limits, and so containing an arbitrary constant.
                                      1. Definite: an integral expressed as the difference between the values of the integral at specified upper and lower limits of the independent variable.
                                        1. Primitive Integrals
                                          1. Area under the curve
                                            1. U Substitution
                                            Show full summary Hide full summary

                                            Similar

                                            Sistema Nervioso
                                            Escolapios Albacete
                                            “In knowledge there is always a trade-off between accuracy and simplicity.” Evaluate this statement
                                            sanchopu
                                            FARMACOLOGÍA DE LOS ANESTÉSICOS LOCALES
                                            María Rivas
                                            PROPERTIES OF MATTER
                                            Escolapios Albacete
                                            REALISMO JURÍDICO CLÁSICO
                                            Julián Murcia
                                            Adverbs: Modifi verbs, adjetives or another advebs
                                            Sthyff Sammet Santa
                                            1 PARÁMETROS DE JUEGO
                                            Fabián Rodríguez Santana
                                            LOS LÓBULOS DEL CEREBRO Y SUS FUNCIONES
                                            Brenda Andrade Cabañas
                                            Verb To Be
                                            Julie Basto
                                            contextualización de la educación inclusiva y con calidad
                                            carolina Galindo
                                            My training path
                                            karla lopez