Electronica y Redes 1

Description

Electronica Trabajo Final
gabrielamesiasb78
Mind Map by gabrielamesiasb78, updated more than 1 year ago
gabrielamesiasb78
Created by gabrielamesiasb78 over 9 years ago
27
0

Resource summary

Electronica y Redes 1
  1. SISTEMAS DE NUMERACION
    1. Son un conjunto de simbolos y reglas de generacion que permiten todos los numeros validos.
      1. Descomposicion polinomica
        1. Cuando el subindice es diferente de 10 el numero de descomposicion puede ser mayor a la base.
        2. Divisiones sucesivas
          1. Es un metodo para convertir un numero decimal a binario. Consiste en coger un numero cualquiera y dividirlo entre 2 cuantas veces sea necesario, hasta que el resultado sea 1.
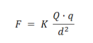
        3. LEY DE COULOMB
          1. La fuerza que dos cargas ejercen sobre una tercera es la suma vectorial de las fuerzas que cada una ejerce.
            1. Si mantenemos la distancia de los cuerpos constante y aumentamos la carga de uno o ambos cuerpos, la fuerza entre ellos aumenta.
              1. Si mantenemos las cargas constantes y aumentamos la distancia entre los cuerpos, la fuerza entre ellos va a ser menor; y si los acercamos, la fuerza va a ser mayor.
                1. Si los cuerpos tienen carga del mismo signo, esta va a ser positiva; pero si tiene carga de diferente signo, esta va a ser negativa.
                  1. Los objetos cargados con igual signo, se repelen; y los objetos cargados con diferente signo, se atraen.
                    1. La materia es neutra, tiene el mismo numero de cargas positivas y negativas. Si un material tiende a perder alguno de sus electrones cuando entra en contacto con otro se dice que es positivo.
                    2. CAMPO ELECTRICO
                      1. Es una propiedad del espacio, mediante el cual se propaga la interaccion entre cargas, es radial y saliente a dicha carga; y si es negativa es radial y entrante.
                        1. Fue introducido por primera vez por Faraday, y fue una nueva forma de describir la interaccion entre dos cargas elecrticas en reposo.
                          1. Es una region del espacio en la que cualquier carga situada en un punto, experimenta una accion o fuerza electrica.
                            1. El numero de lineas de fuerza de un campo electrico es el mismo. Dichas lineas de fuerza siempre se indican en la carga positiva y terminan en la carga negativa.
                              1. (Newton/Coulomb = E) siendo E el campo electrico.
                              2. POTENCIAL ELECTRICO
                                1. Es el trabajo que se debe realizar en una fuerza exterior para traer una carga unitaria Q desde un punto X hasta un punto Y.
                                  1. El campo electrico es el que realiza el desplazamiento de A hacia B y la energia potencial disminuye, si es un agente externo el sentido va a ser de B hacia A.
                                  2. Los voltios y los julios son las unidades que se emplean para expresar el potencial electrico.
                                    1. Cuando se levanta un cuerpo su energia potencial aumenta, los mismo sucede con la energia potencial electrica.
                                    2. (△V = w/qu)
                                    Show full summary Hide full summary

                                    Similar

                                    Estándares de redes
                                    BELÉN LASERNA BELENGUER
                                    Direcciones privadas y publicas en redes IPv4 e IPv6
                                    Samuel Gonzalez
                                    Examen HCIA Dump 200 Preguntas Part-2
                                    Azarias Beltre
                                    FUNDAMENTOS DE REDES DE COMPUTADORAS
                                    anhita
                                    Aula Virtual
                                    Sonnyer Martínez
                                    ELECTRÓNICA!!
                                    Miguel Mina
                                    Redes e Internet
                                    Karen Echavarría Peña
                                    Etica profesional
                                    Yeni Cruz
                                    RED MAN
                                    maye mejia
                                    Los números en Alemán
                                    Zamanta Federico
                                    Sucesiones Aritméticas (Aplicaciones)
                                    Elaine del Valle