Física moderna

Description

Mapa mental sobre la física moderna que se estudia en 2º de bachillerato
jaramilloinfor
Mind Map by jaramilloinfor, updated more than 1 year ago
jaramilloinfor
Created by jaramilloinfor over 9 years ago
40
0

Resource summary

Física moderna
  1. Física Relativista
    1. Sistemas de referencia
      1. Sistemas de referencia inerciales: son aquellos en los que se verifican las leyes de Newton, o aquellos que se encuentren en reposo o en movimiento uniforme respecto a los primeros.
        1. Principio de relatividad de Galileo: Las leyes de la mecánica son invariantes respecto de todos los sistemas inerciales (la aceleración es la misma para todos los sistemas que se mueven entre sí con movimiento uniforme).
        2. El principio de relatividad de Einstein
          1. La teoría especial de la relatividad estudia el comportamiento de un sistema físico desde dos sistemas de referencia distintos, que se desplazan uno con respecto al otro con movimiento rectilíneo uniforme.
            1. Primer postulado: No existe ningún experimento físico, mecánico u óptico, que permita detectar el movimiento absoluto, ya que, con independencia del fenómeno físico que se estudie, los sistemas de referencia inerciales son todos equivalentes.
              1. Segundo postulado: Medida desde un sistema de referencia inercial, la velocidad de la luz en el vacío es siempre la misma y es independiente del movimiento del observador o de la fuente luminosa.
            2. Consecuencias de la relatividad especial
              1. Simultaneidad de sucesos: El tiempo no transcurre de la misma manera en todos los sistemas de referencia inerciales; es decir, el tiempo no es absoluto, sino que depende del sistema de referencia.
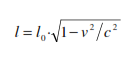
                1. La contracción de la longitud Se define la longitud propia l0 como la distancia que entre los puntos extremos de un objeto, cuando se mide desde un sistema de referencia en el que el objeto está en reposo. Si se mide la longitud de la varilla desde un sistema de referencia que se desplaza con velocidad v respecto al objeto, se obtiene:
                  1. El observador situado en el sistema de referencia móvil ve la varilla más corta que el observador situado sobre la varilla.
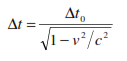
                  2. La dilatación del tiempo El intervalo de tiempo que transcurre entre dos sucesos que se producen en el mismo lugar en un sistema de referencia se denomina tiempo propio t0. Si el tiempo se mide en un sistema de referencia que se mueve con respecto a otro con velocidad v, el tiempo medido es:
                    1. El intervalo de tiempo que medimos en el sistema de referencia en movimiento con respecto al sistema de referencia en el que el suceso se encuentra, es más largo. Este efecto se denomina dilatación del tiempo.
                  3. Masa y energía de una partícula
                    1. La energía de una partícula libre en movimiento viene dada por
                      1. La energía de una partícula en reposo es
                        1. A partir de la definición de momento lineal y del análisis dinámico podemos llegar a las ecuaciones:
                      2. Principio de conservación de la energía relativista
                        1. La energía se puede convertir en materia y la materia en energía. Por tanto, lo que se conserva es el conjunto masa-energía.
                      3. Física cuántica
                        1. Teoría corpuscular de la luz. Fotones
                          1. Propuesta por Einstein, establece que la energía de la luz no está distribuida uniformemente sobre el frente de onda, sino que se concentra en pequeñas regiones llamadas cuantos de luz. Está basada en la teoría cuántica de Planck, y extiende el concepto de cuanto a la energía de la luz emitida por una fuente luminosa. Einstein denominó fotones a los cuantos de luz, que llevan asociada una energía proporcional a su frecuencia
                          2. Emisión térmica. Radiación del cuerpo negro
                            1. Equilibrio térmico es un estado de los cuerpos en los que la cantidad de radiación que emiten y absorben es la misma, por lo que el balance total es nulo (T=cte). La radiación es de tipo electromagnético y recibe el nombre de radiación térmica.
                              1. A raíz de las observaciones sobre la radiación de los cuerpos, surgen dos leyes experimentales:
                                1. Ley de Stefan-Boltzmann: relaciona la energía emitida por el cuerpo negro y la temperatura a la que se encuentra
                                  1. Ley de Wien: proporciona la longitud de onda a la que se produce el máximo de radiación, para cada temperatura:
                                2. Efecto fotoeléctrico
                                  1. Cuando un fotón incide sobre un metal, es completamente absorbido, y su energía E=h·ν pasa a uno de los electrones del metal, que escapa libremente si la energía del fotón incidente supera un cierto valor E0, que recibe el nombre de valor umbral, y que depende de cada metal. Esta energía corresponde a la energía de ligadura del electrón (llamada función trabajo o trabajo de extracción).
                                  2. Efecto Comptom
                                    1. Cuando un fotón, cuya energía E=h·ν es suficientemente grande, incide sobre un electrón que se considera libre, se observa que éste sale con velocidad v r que forma un ángulo f con el fotón incidente y, al mismo tiempo, aparece otro fotón difundido de E1=h·ν1 > E formando otro ángulo θ (ángulo de difusión) con dicha dirección de incidencia. Experimentalmente, la diferencia ν−ν1 sólo depende del ángulo de difusión θ y se puede expresar en función de las longitudes de onda
                                    2. Dualidad onda-corpúsculo
                                      1. La hipótesis de De Broglie establece que toda partícula de masa m que se mueve con velocidad v lleva asociada una onda cuya longitud de onda y frecuencia vienen dadas por:
                                          1. Esta teoría establece que la luz tiene doble carácter, ondulatorio y corpuscular, lo cual queda de manifiesto en experimentos como la interferencia y la difracción.
                                        1. Cuantización de la energía y modelo atómico de Bohr
                                          1. Bohr utiliza el modelo de Rutherford para sus hipótesis, en el que el electrón gira en una órbita circular alrededor del núcleo central.
                                            1. Primer postulado: El átomo de hidrógeno está formado por un núcleo positivo (un protón) en torno al cual gira el electrón. El electrón sólo puede moverse en ciertas órbitas perfectamente definidas.
                                              1. Segundo postulado: Mientras permanece en alguna de las órbitas, el electrón no emite ni absorbe energía y en ella son aplicables las leyes de la mecánica clásica. Se denominan órbitas estacionarias.
                                                1. Tercer postulado: La emisión o absorción de energía corresponde al paso de una órbita estacionaria a otra. La diferencia de energía entre ambas E2-E1 corresponde a la emisión o absorción de un fotón de frecuencia h·ν, donde h es la constante de Planck. La frecuencia por tanto es
                                                  1. Cuarto postulado: Las únicas órbitas estables son aquellas en las que el momento angular del electrón respecto del núcleo es un múltiplo entero de
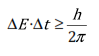
                                                  2. Principio de incertidumbre de Heisenberg
                                                    1. Este físico postuló que era imposible determinar simultáneamente la posición y la cantidad de movimiento exactas de un electrón, por lo que es imposible determinar su trayectoria:
                                                        1. Este principio también se puede aplicar a la energía y el tiempo:
                                                    2. Física nuclear
                                                      1. El núcleo atómico
                                                        1. Las partículas que forman el núcleo atómico son protones y neutrones
                                                          1. Número atómico (Z): es el número de protones. Número másico (A): número de protones y neutrones.
                                                        2. Masa y energía
                                                          1. En un sistema aislado no se conservan ni la masa ni la energía individualmente, sino como conjunto masa-energía, que son equivalentes. Cualquier defecto de masa va acompañado de una cantidad de energía
                                                          2. Energía de enlace nuclear
                                                            1. La energía de enlace de un núcleo es la energía liberada en la formación de éste a partir de los nucleones libres o la necesaria para disgregar un núcleo y separar sus nucleones.
                                                                1. Entre la masa de los nucleones libres y la del núcleo en reposo existe una diferencia, el defecto másico, que supone la energía por la que están unidas las partículas del núcleo
                                                              1. Para estudiar la estabilidad de los núcleos se utiliza la energía de enlace por nucleón:
                                                              2. Radiactividad
                                                                1. La radiactividad es un fenómeno nuclear que consiste en la emisión espontánea y continua de radiaciones por ciertas sustancias radiactivas. Un núcleo atómico de estas sustancias (radioisótopo) es inestable, lo que hace que se fragmente o desintegre emitiendo radiaciones o partículas para estabilizarse.
                                                                2. Clases de desintegraciones radiactivas
                                                                  1. Desintegración α: se emiten núcleos de He Cuando un núcleo pesado emite una partícula α , su número atómico disminuye dos unidades y su número másico cuatro.
                                                                    1. Desintegración β- : se emite un electrón Cuando un núcleo emite un electrón se obtiene otro núcleo con el mismo másico, pero su número atómico aumenta una unidad, puesto que un neutrón se transforma en protón, un electrón y un antineutrino ν (es una desintegración neutrónica). El antineutrino es una partícula sin carga y prácticamente sin masa.
                                                                      1. Desintegración β+: se emite un positrón Un núcleo radiactivo emite un positrón, una partícula cuyo número másico es 0 y cuyo número atómico es +1. Se dice que el positrón es la antipartícula del electrón, porque tiene la misma masa que el electrón en reposo, y carga contraria. Cuando un núcleo radiactivo emite una partícula β+, se obtiene otro núcleo que contiene un protón menos y un neutrón más que el núcleo original, y se emite un neutrino.
                                                                        1. Radiación γ: radiación electromagnética Por emisión de una radiación γ no se altera un el número másico un el atómico del núcleo radiactivo.
                                                                        2. Actividad radiactiva
                                                                          1. Se llama actividad de una muestra radiactiva al número de desintegraciones que se producen en la unidad de tiempo. Se puede expresar:
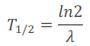
                                                                            1. Vida media: es el tiempo medio necesario para que se produzca la desintegración de un núcleo
                                                                              1. Ley de desintegración radiactiva:
                                                                                1. Período de semidesintegración: tiempo que tardaría en desintegrarse la mitad de los núcleos de la muestra inicial
                                                                                2. Fisión Nuclear
                                                                                  1. La fisión nuclear es el proceso en el que un núcleo, generalmente pesado, se rompe en dos fracciones más ligeras. Se produce cuando un neutrón térmico (o lento) incide sobre un núcleo. En el proceso: • Hay pérdida de masa (se desprende energía). • Se emiten más neutrones. Los neutrones producidos en la fisión pueden producir a su vez otras fisiones a otros núcleos si se deceleran, lo que se consigue mediante choques con el núcleo fisible.
                                                                                    1. Fusión Nuclear
                                                                                      1. Es el proceso que tiene lugar cuando dos o más núcleos ligeros dan lugar a otro más pesado y una o más partículas y radiación γ. Es el que se produce de forma espontánea en las estrellas, transformándose los núcleos de hidrógeno en helio. Para que se produzcan reacciones de fusión es necesario que haya altas temperaturas, hasta que los elementos alcanzan un estado llamado plasma, en el que pierden los electrones. En este estado pueden fusionarse los núcleos, pero exige un aporte energético inicial para alcanzar dichas temperaturas.
                                                                                        1. Se considera la fusión como la mejor alternativa a las actuales fuentes de energía:  Es muy abundante.  Es limpia (no genera desechos radiactivos)
                                                                                        Show full summary Hide full summary

                                                                                        Similar

                                                                                        Cinemática
                                                                                        maya velasquez
                                                                                        CUESTIONARIO DE FÍSICA
                                                                                        amam3105
                                                                                        Física: Conceptos Básicos
                                                                                        maya velasquez
                                                                                        Diferencias entre la Química y Física
                                                                                        maya velasquez
                                                                                        La Ley de la Gravedad
                                                                                        maya velasquez
                                                                                        Segunda Ley de la Termodinámica
                                                                                        Virginia León
                                                                                        INTRODUCCIÓN A LA FÍSICA
                                                                                        moises silva daza
                                                                                        Métodos gráficos para sistemas de fuerzas
                                                                                        Andres Alberto Dranuta
                                                                                        Método científico
                                                                                        Carlos Eduardo Solano González
                                                                                        FUENTES DE ENERGÍA
                                                                                        Alba Guzman
                                                                                        Efecto Fotoeléctrico
                                                                                        Katharine Poloche