PROPIEDADES TÉRMICAS DE LA MATERIA

Description

.
pvmanrique
Mind Map by pvmanrique, updated more than 1 year ago
pvmanrique
Created by pvmanrique over 9 years ago
35
0

Resource summary

PROPIEDADES TÉRMICAS DE LA MATERIA
  1. Ecuaciones de estado
    1. Las condiciones en que existe un material dado se describen con cantidades físicas como
      1. presión
        1. volumen
          1. temperatura
            1. cantidad de sustancia.
              1. Ejemplo
                1. un tanque de oxígeno para soldar tiene un manómetro y una etiqueta que indica su volumen n. Podríamos agregar un termómetro y pesar el tanque para determinar su masa
                  1. Estas variables describen
                    1. estado del material que se llama
                      1. Variables del estado
              2. El volumen V de una sustancia suele estar determinado por su presión p
                1. temperatura T
                  1. cantidad de sustancia, descrita por la masa mtotal o número de moles n
                    1. En unos cuantos casos, la relación entre p, V, T y m (o n) es tan sencilla que podemos expresarla mediante una
                      1. Ecuacion de estado
                        1. Ejemplo
                          1. Sistema hipotético para estudiar el comportamiento de los gases. Si calentamos el gas, variamos el volumen con un pistón móvil y añadimos más gas, podremos controlar la presión p, el volumen V, la temperatura T y el número n de moles del gas
                      2. La ecuación del gas ideal
                        1. Por lo general, lo más fácil es describir la cantidad de un gas en términos del nú- mero de moles n en lugar de la masa
                          1. ecuación del gas ideal pV 5 nRT da una buena descripción del aire dentro de un neumático inflado, donde la presión es aproximadamente de 3 atmósferas y la temperatura es demasiado alta para que el nitrógeno o el oxígeno se licuen. Conforme el neumático se calienta (T aumenta), el volumen V cambia sólo ligeramente, pero la presión p aumenta.
                            1. Las mediciones del comportamiento de diversos gases dan origen a tres conclusiones:
                              1. 1) El volumen V es proporcional al número de moles n. Si duplicamos el número de moles, manteniendo constantes la temperatura y la presión, el volumen se duplica.
                                1. 2) El volumen varía inversamente con la presión absoluta p. Si duplicamos la presión manteniendo constantes la temperatura T y el número de moles n, el gas se comprime a la mitad de su volumen inicial. Dicho de otro modo, pV 5 constante cuando n y T son constantes
                                  1. 3) La presión es proporcional a la temperatura absoluta. Si duplicamos la temperatura absoluta, manteniendo constantes el volumen y el número de moles, la presión se duplica. En otras palabras, p 5 (constante)T si n y V son constantes
                                    1. Estas tres relaciones se pueden combinar en una sola ecuación, llamada ecuación del gas ideal:
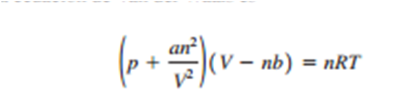
                                2. La ecuación de Van der Waals
                                  1. La ecuación fue desarrollada en el siglo XIX por el físico holandés J. D. Van der Waals; la interacción atómica que vimos en la sección 13.4 se llamó interacción de Van der Waals en su honor. La ecuación de Van der Waals es
                                3. Propiedades moleculares de la materia
                                  1. Moléculas y fuerzas intermoleculares
                                    1. Toda la materia conocida se compone de moléculas
                                      1. . Las moléculas más pequeñas contienen un solo átomo y su tamaño es del orden de 10210 m; las más grandes contienen muchos átomos y son al menos 10,000 veces más grandes
                                        1. Cómo la fuerza entre moléculas y su energía potencial de interacción dependen de su separación r
                                      2. En los sólidos, las moléculas vibran alrededor de puntos más o menos fijos. En un sólido cristalino, esos puntos están dispuestos en una red cristalina recurrente
                                      3. Moles y número de Avogadro
                                        1. Un mol de cualquier elemento o compuesto químico puro contiene un número definido de moléculas, igual para todos los elementos y compuestos. La definición oficial del SI es que
                                          1. Un mol es la cantidad de sustancia que contiene tantas entidades elementales como átomos hay en 0.012 kg de carbono 12.
                                          2. El número de moléculas en un mol se denomina número de Avogadro y se denota con NA. El mejor valor numérico actual para NA es
                                            1. La masa molar M de un compuesto es la masa de un mol. Esto es igual a la masa m de una sola molécula multiplicada por el número de Avogadro
                                          3. Modelo cinético-molecular del gas ideal
                                            1. modelo cinético-molecular abarca varios pasos,
                                              1. 1. Un recipiente con volumen V contiene un número muy grande N de moléculas idénticas, cada una con masa m
                                                1. 2. Las moléculas se comportan como partículas puntuales; su tamaño es pequeño en comparación con la distancia media entre partículas y las dimensiones del recipiente.
                                                  1. 3. Las moléculas están en constante movimiento, y obedecen las leyes del movimiento de Newton. Las moléculas chocan ocasionalmente con las paredes del recipiente. Tales choques son perfectamente elásticos
                                                    1. 3. Las moléculas están en constante movimiento, y obedecen las leyes del movimiento de Newton. Las moléculas chocan ocasionalmente con las paredes del recipiente. Tales choques son perfectamente elásticos
                                              2. Colisiones y presión de gas
                                                1. Durante los choques, las moléculas ejercen fuerzas sobre las paredes del recipiente; éste es el origen de la presión del gas
                                                2. Presión y energías cinéticas moleculares
                                                  1. El aire veraniego (arriba) es más cálido que el aire invernal (abajo); es decir, la energía cinética de traslación media de las moléculas de aire es mayor durante el verano.
                                                  2. Rapideces moleculares
                                                    1. Mientras el hidrógeno es un combustible deseable para los vehículos, es sólo un constituyente o una traza en nuestra atmósfera (sólo hay el 0.00005% de hidrógeno por volumen). Por consiguiente, el combustible de hidrógeno tiene que generarse mediante electrólisis del agua, que por sí solo es un proceso intensivo de energía.
                                                        1. Choques entre moléculas
                                                          1. N moléculas esféricas con radio r en un volumen V. Suponga que sólo una molécula se mueve: chocará con otra molécula cuando la distancia entre sus centros sea 2r.
                                                            1. Suponga que dibujamos un cilindro con radio 2r, con su eje paralelo a la velocidad de la molécula
                                                                1. La molécula que se mueve choca con cualquier otra molécula cuyo centro está dentro de este cilindro.
                                                                  1. En un tiempo corto dt, una molécula con rapidez v recorre una distancia v dt, chocando con cualquier molécula que esté en el volumen cilíndrico con radio 2r y longitud v dt
                                                                    1. El volumen del cilindro es 4pr 2 v dt. Hay N>V moléculas por unidad de volumen, así que el nú- mero dN de las que tienen su centro en este cilindro es
                                                                          1. La distancia media recorrida entre choques se llama trayectoria libre media
                                                            2. Capacidades caloríficas
                                                              1. medir el calor específico o la capacidad calorífica molar de un material. Ahora veremos cómo podemos predecir estos valores a partir de la teoría.
                                                                1. Capacidades caloríficas de los gases
                                                                  1. mantendremos el volumen de gas constante para no tener que preocuparnos por la transferencia de energía mediante trabajo mecánico. Si dejamos que el gas se expanda, efectuará trabajo empujando las paredes móviles de su recipiente, y tendríamos que incluir esta transferencia de energía adicional en los cálculos
                                                                      1. Movimientos de una molécula diatómica.
                                                                        1. Movimiento de traslación. La molécula se mueve como un todo; su velocidad puede describirse como los componentes x, y y z de su centro de masa
                                                                          1. Movimiento de rotación. La molécula gira alrededor de su centro de masa. Esta molécula tiene dos ejes independientes de rotación.
                                                                            1. c) Movimiento vibracional. La molécula oscila como si los ncleos est uvieran conectados mediante un resorte.
                                                                        2. Valores experimentales de CV, la capacidad calorífica molar a volumen constante, para el hidrógeno gaseoso (H2). La temperatura está graficada en una escala logarítmica
                                                                        3. Rapideces moleculares
                                                                          1. . Una sustancia se vaporiza en un horno; las moléculas de vapor escapan por una abertura en la pared del horno hacia una cámara de vacío
                                                                            1. una serie de ranuras bloquea el paso de todas las moléculas excepto las de un haz angosto, dirigido a un par de discos giratorios
                                                                              1. Una molécula que pasa por la ranura del primer disco es bloqueada por el segundo disco a menos que llegue justo cuando la ranura del segundo disco está alineada con el haz
                                                                                1. Los discos funcionan como un selector de rapidez que deja pasar sólo moléculas dentro de un intervalo estrecho de velocidades
                                                                                  1. Ese intervalo puede variarse alterando la rapidez de rotación de los discos, y podemos medir cuántas moléculas hay en cada intervalo de rapidez
                                                                                    1. Para describir los resultados de tales mediciones, definimos una función f(v) llamada función de distribución
                                                                            2. Una molécula con rapidez v pasa por la ranura del primer disco giratorio. Al llegar la molécula al segundo disco giratorio, las ranuras han girado el ángulo de desfasamiento u. Si v 5 vx>u, la molécula pasará por la ranura del segundo disco giratorio y llegará al detector
                                                                              1. La distribución de Maxwell-Boltzmann
                                                                                1. La función f(v) que describe la distribución real de la rapidez molecular se llama distribución de Maxwell-Boltzmann, y puede deducirse de consideraciones de mecánica estadística que rebasan nuestro alcance
                                                                              2. Fases de la materia
                                                                                1. la transición de una fase a otra normalmente se da en condiciones de equilibrio de fases entre las dos fases y, para una presión dada, esto sólo ocurre a una temperatura específica. Podemos representar estas condiciones en una gráfica con ejes p y T, llamada diagrama de fases
                                                                                  1. . Las tres curvas se unen en el punto triple, la única condición en que pueden coexistir las tres fase
                                                                                  2. Superficies pVT
                                                                                  Show full summary Hide full summary

                                                                                  Similar

                                                                                  Aspectos Legales de la Capacitacion
                                                                                  catherine de leo
                                                                                  REGULACION DE LA TEMPERATURA CORPORAL Y FIEBRE
                                                                                  camila rodriguez
                                                                                  Los sensores.
                                                                                  beabaena01
                                                                                  Polinización en plantas
                                                                                  Isabella Jaller
                                                                                  ARS NOVA
                                                                                  angie.visbal
                                                                                  Aprendizaje Basado en problemas PBL
                                                                                  JUAN JOSE ROMERO
                                                                                  Los seres vivos.
                                                                                  Farah Lemkedmi
                                                                                  Uso de dd
                                                                                  Jonnathan Oyervide
                                                                                  español
                                                                                  juliana gonzalez
                                                                                  Wortschatz Lektion 2 und 3
                                                                                  gg g
                                                                                  as
                                                                                  Andrs