PROPIEDADES TÉRMICAS DE LA MATERIA

Description

Mapa mentefacto de fisica presentado a herson hincapie
Viviana Mora Alvarez
Mind Map by Viviana Mora Alvarez, updated more than 1 year ago
Viviana Mora Alvarez
Created by Viviana Mora Alvarez over 9 years ago
30
0

Resource summary

PROPIEDADES TÉRMICAS DE LA MATERIA
  1. Ecuación de estado
    1. La ecuación del gas ideal
    2. Propiedades molares de la materia
      1. Moléculas y fuerzas intermoleculares
        1. La masa molar M de una sustancia pura es la masa por mol
        2. Moles y número de Avogadro
          1. Un mol es la cantidad de sustancia que contiene tantas entidades elementales como átomos hay en 0.012 kg de carbono 12.
        3. Capacidades caloríficas
          1. maneras de medir el calor específico o la capacidad calorífica molar de un material
            1. Capacidades caloríficas de los gases
              1. Capacidades caloríficas de sólidos
            2. Modelo cinético molecular de un gas ideal
              1. En un gas ideal, la energía cinética de traslación total del gas en conjunto
                1. Colisiones y presión de gas
                  1. Durante los choques, las moléculas ejercen fuerzas sobre las paredes del recipiente; éste es el origen de la presión del gas
                  2. Presión y energías cinéticas moleculares
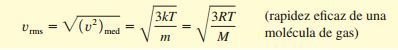
                    1. Rapideces moleculares
                      1. podemos obtener expresiones para la raíz cuadrada de (v2 )med, llamada rapidez eficaz o rapidez cuadrática media (o rapidez rms,
                      2. Choques entre moléculas
                          1. En un tiempo dt una molécula con radio r choca con cualquier otra molécula que esté dentro de un volumen cilíndrico con radio 2r y longitud v dt
                    2. Fases de la materia
                      1. La materia ordinaria existe en las fases sólida, líquida y gaseosa. Un diagrama de fases muestra las condiciones en las que dos fases pueden coexistir en equilibrio. Las tres fases pueden coexistir en el punto triple. La curva de vaporización termina en el punto crítico, arriba del cual desaparece la distinción entre las fases líquida y gaseosa.
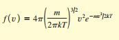
                      2. Rapidez molecular
                        1. Las rapideces de las moléculas de un gas ideal se distribuyen según la distribución de Maxwell Boltzmann f(v).
                          Show full summary Hide full summary

                          Similar

                          Cinemática
                          maya velasquez
                          CUESTIONARIO DE FÍSICA
                          amam3105
                          La Ley de la Gravedad
                          maya velasquez
                          Física: Conceptos Básicos
                          maya velasquez
                          Diferencias entre la Química y Física
                          maya velasquez
                          Segunda Ley de la Termodinámica
                          Virginia León
                          INTRODUCCIÓN A LA FÍSICA
                          moises silva daza
                          Métodos gráficos para sistemas de fuerzas
                          Andres Alberto Dranuta
                          Método científico
                          Carlos Eduardo Solano González
                          FUENTES DE ENERGÍA
                          Alba Guzman
                          Efecto Fotoeléctrico
                          Katharine Poloche