Medias de posición y variabilidad

Description

mapa mental que nos pidierón en clase de Probabilidad y Estadística en el Bachillerato Intensivo Semiescolarisado del Iteso por el almuno Rodrigo Anguiano
ROI Anguiano
Mind Map by ROI Anguiano, updated more than 1 year ago
ROI Anguiano
Created by ROI Anguiano over 9 years ago
36
0

Resource summary

Medias de posición y variabilidad
  1. Existen dos tipos de medias de posición que nos permiten conocer diversas caractéristicas de una serie de datos.
    1. Medias de posición central
      1. Media aritmética
        1. Conocido tambien como promedio es la suma de todos los datos que despues se dividen entre el numero total de los mismos y dar como resultado el numero de estandar en una población o muestra
        2. Media geométrica (G)
          1. Se suele utilizar en series de datos como la inflación, donde el valor de cada año se multiplica con el de los años anteriores. Se eleva cada valor al número de veces que se ha repetido. Se multiplican todo estos resultados y al producto final se le calcula la raíz "n" (siendo "N" el total de datos de la muestra) .
          2. Mediana
            1. Es el valor central de los datos, es decir si acomodamos los datos por orden numerico, el dato que quedara enmedio seria nuestra media, es distribuciones normales tiende a ser el mismo que la media
            2. Moda
              1. Es simplemente el dato que más se repite en una pobación o muestra (puede haber una o más modas)
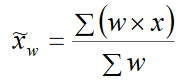
              2. Media ponderada ó pesada
                1. Es en si un promedio de un conjunto de datos, pero aquí podemos definir el grado de importancia del aprote del promedio. Ádemas se toma en cuenta ademas del valor de cada de dato, sino también con qué frecuencia éste se presenta en la población.
                  1. Un ejemplo púede ser el promedio de una escuela pero contando el valor de los creditos de cada asignatura
                      1. Donde: w es el peso asignado a cada observación. ( ∑ × x w ) es la suma de los productos del peso de cada elemento por el elemento correspondiente y ( ∑ w( es suma de todos los pesos
                2. Medias de posición no central
                  1. Cuartiles , Deciles, Percentiles
                3. Las medias de variabilidad o disperción qu nos sirven para indentificar y o entender anomalias de datos muy dispersos a las tendencias centrales (media aritmética) en una población así como el comportamiento en los patrones de datos.
                  1. El rango (R) tambien conocido como amplitud o ntervalo
                    1. Mide la aplitud que hay entre el dato menor y el dato maximo o mayor de una muestra
                    2. Varianza ( S2 )
                      1. Mide la distancia existente entre los valores de la serie y la media. Se calcula como sumatoria de las diferencias al cuadrado entre cada valor y la media, multiplicadas por el número de veces que se ha repetido cada valor. la sumatoria obtenido se divide por el tamaño de la muestra.
                        1. Formulas
                      2. Desviación estándar ( S )
                        1. La desviación estándar nos sirve para determinar, dónde están localizados los valores de una distribución de frecuencias con relación a la media.
                          1. Es simplemente la raiz cuadrada de la varianza por lo cual es facíl, calcularla ya siempre se busca primero la varianza,
                            1. Tambien nos indica donde,en teoría ,se deberian encontrar la mayoria de los datos que esto se puede saber restandole o sumandole a la media 2 DS y de no ser así encontrar anomalias
                        2. Trabajo hecho por Rodrigo de Jesuys Anguiano Martínez (ROI)
                          Show full summary Hide full summary

                          Similar