null
US
Sign In
Sign Up for Free
Sign Up
We have detected that Javascript is not enabled in your browser. The dynamic nature of our site means that Javascript must be enabled to function properly. Please read our
terms and conditions
for more information.
Next up
Copy and Edit
You need to log in to complete this action!
Register for Free
5834852
Pruebas de Hipótesis de 2 muestras
Description
Realizado por Ignacio Torres, Tarea de Estadística UTE
No tags specified
estadistica
probabilidad
prueba de hipotesis
matemática
Mind Map by
Ignacio Torres Romero
, updated more than 1 year ago
More
Less
Created by
Ignacio Torres Romero
over 9 years ago
206
0
0
Resource summary
Pruebas de Hipótesis de 2 muestras
Al comparar dos medias poblacionales se desea saber si pueden ser iguales
Se investiga si la distribución de la diferencia entre las medias puede tener una media de 0
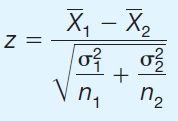
El estadístico de prueba sigue la distribución normal estándar si se conocen las desviaciones estándares de las poblaciones
No se requiere de ninguna suposición acerca de la forma de las poblaciones
Las muestras son de poblaciones independientes
comprobar si dos muestras provienen de poblaciones con la misma proporción de éxitos
Las dos proporciones muestrales se agrupan
calcula el valor del estadístico de prueba
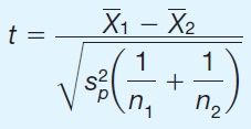
si no se conocen las desviaciones estándares poblacionales
Las dos poblaciones deben seguir la distribución normal
Las poblaciones deben tener desviaciones estándares iguales
Las muestras son independientes
La determinación del valor de t requiere dos pasos
agrupar las desviaciones estándares
El valor de t se calcula
Los grados de libertad de la prueba son n1 + n2 – 2.
Media attachments
6817a168-7826-4085-86ed-53e81c9c271b (image/jpg)
128e565c-4601-4a59-93e4-d054aab28aeb (image/jpg)
c6d056a6-fc30-4126-8312-0aa43a5b658c (image/jpg)
90923faa-1419-4950-b1b9-322d224085a5 (image/jpg)
0fbf7070-32f3-4c1c-bbc6-81ee14b42a09 (image/jpg)
Show full summary
Hide full summary
Want to create your own
Mind Maps
for
free
with GoConqr?
Learn more
.
Similar
MUESTREO Y DISTRIBUCIONES MUESTRALES
Yumary Lima Ruiz
MAPA MENTAL ESTADISTICA
fidel451
Ecuaciones Estadísticas
Diego Santos
Cuestionarios de Probabilidad y Estadistica
Saddy Jair Aragon Pimentel
GRAFICOS EN ESTADISTICAS
Adriana Cortes Barbosa
Medidas Estadísticas Bivariantes de Regresión
Fernando Henao Castaño
Las ventajas y desventajas de la investigación cualitativa
Olga sofia Gonzalez
PROBLEMÁTICA AMBIENTAL
Edison Andres Pinto Forero
METODOS PROBABILISTICOS
duvan heavy
PROBABILIDAD CONDICIONAL
jeslin.guevara
Dato Mayor y dato menor de un conjunto de datos
basilio gomez
Browse Library