Regresión múltiple

Description

La regresión múltiple se define como un procedimiento mediante el cual se trata de determinar si existe o no relación de dependencia entre dos o más variables.
Amelia Pincay Albán
Mind Map by Amelia Pincay Albán, updated more than 1 year ago
Amelia Pincay Albán
Created by Amelia Pincay Albán over 9 years ago
406
0

Resource summary

Regresión múltiple
  1. Se define como un procedimiento mediante el cual se trata de determinar si existe o no relación de dependencia entre dos o más variables.
    1. Se presenta cuando dos o más variables independientes influyen sobre una variable dependiente
      1. y=f(x;w;z)
        1. Conociendo los valores de las variables independientes se trata de estimar los valores de las variable dependiente
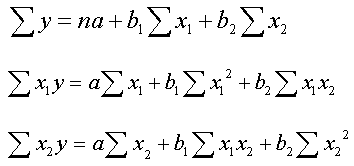
          1. y=b0+b1x1+b2x2+--- +bnxn
            1. bo=número de la ordenada al origen en el plano de regresión, es decir, el intersecto con el eje y
              1. Esta ecuación describe un hiperplano en el espacio de n dimensiones de las variables, puede influir en la respuesta descartando las que no aportan información
                1. b1= indica el cambio esperado de la respuesta y por cambio unitario en x1 cuando x2 se muestra constante
                  1. b2= mide el cambio esperado de "y" por unidad de cambio de x2 cuando x1 es constante
          2. Método de regresión múltiple
            1. Es un método para analizar el efecto de dos o más variables independientes sobre una dependiente. Es una extensión de la
              1. Es una extensión de la regresión lineal, solo que con un número mayor de variables independientes , es decir, sirve para predecir el valor y la influencia de las variables independiente incluidas en el análisis.
              2. Aplicación
                1. 1. Identificación de variables explicativas (crea un modelo donde la selección de las variables puede influir en la respuesta, desarrollando las que no aportan información).
                  1. 2. Determinación de iteraciones (ocurres entre las variables independientes que afectan las variables respuesta).
                    1. 3. Identificación de variables confusas (cuando no hay control sobre las variables independientes).
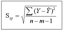
                      1. Error estándar
                        1. Medida de dispersión donde la estimación se hace más precisa conforme el grado de dispersión alrededor del plano de regresión se hace más pequeño.
                            1. n : Número de datos m : Número de variables independientes-
                          1. Gráfico ejemplo
                            Show full summary Hide full summary

                            Similar

                            MAPA MENTAL ESTADISTICA
                            fidel451
                            BIOESTADISTICA
                            Ad Card
                            Etapas para el inicio de una investigación estadística
                            carlos taramuel
                            PRUEBA DE ESTADÍSTICA GRADO SEPTIMO
                            jennydaza28
                            Regresión lineal y múltiple
                            Ximena Cruz
                            Examen de práctica estadística
                            mari.mesen
                            Conceptos de estadística y probabilidad
                            Diego Santos
                            PRUEBAS ESTADÍSTICA GRADO ONCE
                            jennydaza28
                            medidas estadísticas Bivariantes de regresión y correlación.
                            Aleja Vargas
                            Medidas de la Estadística Descriptiva
                            Humberto Lopez Tepox
                            Medidas de tendencia central
                            jojabravo