null
US
Sign In
Sign Up for Free
Sign Up
We have detected that Javascript is not enabled in your browser. The dynamic nature of our site means that Javascript must be enabled to function properly. Please read our
terms and conditions
for more information.
Next up
Copy and Edit
You need to log in to complete this action!
Register for Free
5890442
TEOREMA DE PITAGORAS
Description
EN UN MAPA CONCEPTUAL QUE EXPLICA UN EJERCICIO DE TEOREMA DE PITAGORAS
No tags specified
teorema de pitagoras
ejemplo de teorema de pitagoras
mapa conceptual de teorema de pitagoras
matemática
bachillerato tecnológico
Mind Map by
evelyn_mery159
, updated more than 1 year ago
More
Less
Created by
Alejandra GamboaMLLM
about 10 years ago
Copied by
evelyn_mery159
over 9 years ago
10
0
0
Resource summary
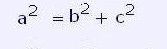
TEOREMA DE PITAGORAS
HALLAR LA HIPOTENUSA(a) DE:
SOLUCION
ENTONCES QUEDARIA
Media attachments
d51fa759-2aed-46a5-a428-436a08c6ed84 (image/png)
8fdfef8b-a75b-41ea-a41f-79ee15011e1e (image/jpg)
4c7ad951-0da0-4e4e-8349-93e54e57ee30 (image/jpg)
9c2c14be-e1e8-43cc-afa0-9bb8e1a75ecd (image/jpg)
c01afde6-2fce-487e-afee-a696019a908b (image/jpg)
2b3b31a0-6eb1-4677-9023-096d1fc8a1a6 (image/jpg)
7a54390a-c4b4-44ef-a038-cfba9f18e113 (image/jpg)
1d4b08f0-4a06-4834-b19c-c831541fa9d8 (image/png)
Show full summary
Hide full summary
Want to create your own
Mind Maps
for
free
with GoConqr?
Learn more
.
Similar
CÁLCULO MENTAL
JL Cadenas
TEOREMA DE PITAGORAS
Formación Ecca Murcia
Funciones - Test
sofialeone
ORIGEN DE LOS LOGARITMOS
Hugo Fernando
Enseñando las matemáticas con el uso de las TICs
danilo2506
Circulo y circunferencia
jessica silveira
Notación Científica mapa mental
arojasaci17
Sistemas de ecuaciones lineales método cramer
Patricio Cáceres
La enseñanza de la Geometría
Sabina Sosa
Lógica: tablas de verdad. Actividades (Àlex Lluch)
Àlex Lluch
PROPIEDADES DE LAS PROPORCIONES
AlejoLop12 RMC
Browse Library