null
US
Sign In
Sign Up for Free
Sign Up
We have detected that Javascript is not enabled in your browser. The dynamic nature of our site means that Javascript must be enabled to function properly. Please read our
terms and conditions
for more information.
Next up
Copy and Edit
You need to log in to complete this action!
Register for Free
5908904
Series y secuencias
Description
Mapa mental Unidad !, Series y Secuencias
No tags specified
mapa mental
ib mathematics sl, i
series y secuencias
bachillerato internacional
Mind Map by
MANUEL ORTIZ GOMEZ
, updated more than 1 year ago
More
Less
Created by
MANUEL ORTIZ GOMEZ
over 9 years ago
64
0
0
Resource summary
Series y secuencias
Geométrica
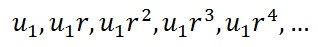
Elementos
Interés compuesto
"n" término
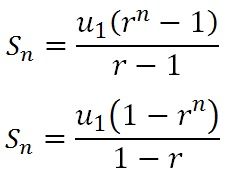
Sumatoria
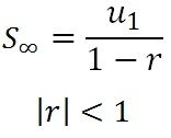
Sumatoria al Infinito
Aritmética
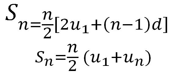
Elementos
"n" término
Sumatoria
Notación Sigma
Media attachments
1be63d56-ad76-43db-ba49-5d421f688582 (image/jpg)
e5d700b9-7810-4b86-9790-93b62856f5ca (image/jpg)
fe5e9c29-a796-4f21-847d-24c0eee6d01f (image/jpg)
783f707d-3cf2-4818-a476-9640a9131fc8 (image/png)
9c774994-736e-4c20-ad57-70d31db2e04f (image/jpg)
b0e5b8cb-bc46-4bc0-9231-063831de0fe1 (image/jpg)
d8a8600d-2adb-43a9-b39b-749b41ac19b4 (image/jpg)
39b5556a-5c95-4f5b-8d7f-16b9b09430a9 (image/jpg)
Show full summary
Hide full summary
Want to create your own
Mind Maps
for
free
with GoConqr?
Learn more
.
Similar
7 Técnicas para Aprender Matemáticas
maya velasquez
Las Matemáticas
maya velasquez
Organizador Gráfico
r2p2casa
Cómo crear un Mapa Mental
maya velasquez
Las Matemáticas
María Salinas
Mapa Conceptual
Laura Laguna
Mapa Conceptual
Laura Perez6723
MICROECONOMÍA
ingrinati
LEY 1/2000 ENJUICIAMIENTO CIVIL: "De los procesos sobre filiación, paternidad y maternidad"
Miguel Angel del Rio
ExamTime
maya velasquez
LEY 1/2000 ENJUICIAMIENTO CIVIL: "De los procesos matrimoniales y de menores" (I)
Miguel Angel del Rio
Browse Library