null
US
Sign In
Sign Up for Free
Sign Up
We have detected that Javascript is not enabled in your browser. The dynamic nature of our site means that Javascript must be enabled to function properly. Please read our
terms and conditions
for more information.
Next up
Copy and Edit
You need to log in to complete this action!
Register for Free
6041490
Exponentes y Radicales
Description
mapa mental
No tags specified
erika
yeka
yaja
mari
luis
undécimo
Mind Map by
lilibeth inela rivera
, updated more than 1 year ago
More
Less
Created by
lilibeth inela rivera
about 9 years ago
279
0
0
Resource summary
Exponentes y Radicales
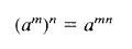
Exponentes.
Leyes:
Primera Ley.
Ejemplo.
Segunda Ley.
Ejemplo.
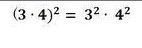
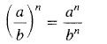
Tercera Ley.
Ejemplo.
Cuarta Ley.
Ejemplo.
Quinta Ley.
Ejemplo.
Sexta Ley.
Ejemplo.
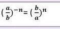
Septima Ley.
Ejemplo.
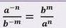
Propiedades.
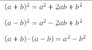
Igualdades Notables.
Logaritmos.
Notación Científica.
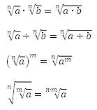
Radicales.
Raíz Cuadrada.
Radical De Índice Cualquiera.
Raíz Cúbica.
Potencias de Exponente Racional.
Propiedades.
Operaciones con Radicales.
Media attachments
d1123d35-500d-421e-9cde-a31a4851d398 (image/jpg)
dab02637-4784-42d8-bd08-bfe4cad166c2 (image/jpg)
8e539233-3642-4b72-80c4-084d002c9735 (image/jpg)
96b8d158-b130-4967-b109-8cca524cf790 (image/jpg)
6e55ada2-aa32-4e32-a9d3-aec90fc6aa74 (image/jpg)
53ff0f59-3d89-4f54-a231-0f1b3d09c302 (image/jpg)
e4d4cb25-f8f3-413a-a67e-e19c567041e8 (image/jpg)
c9a1cdb0-8472-4c3d-9ea0-269591b08059 (image/jpg)
6a2d0161-c7c9-4e64-a7ac-e2d74d78c263 (image/jpg)
58630671-6ac9-4c06-991b-a333bdeea23d (image/jpg)
8bada1c4-8a22-47c0-9ed4-d5dc701d8c7d (image/jpg)
72fbbe71-846b-4415-8d35-d563948e2afd (image/jpg)
4a4df3d0-0480-4d5f-acaf-5d21292100af (image/jpg)
02036c5f-a23b-470a-9cb2-5133da6fb83c (image/jpg)
7b61d520-62da-4f63-b991-7a7053049c5f (image/png)
c9ab9e3a-0fab-4d83-a46d-2395d1c24c79 (image/png)
8d79922e-4d4b-456d-a470-07d22ad26499 (image/png)
13f6f633-f459-41d9-813f-46247df11620 (image/png)
ad1a7184-90c7-4bac-bdcf-120864c6a5fd (image/png)
b094a165-efeb-4c78-a9a8-fc2111429e32 (image/png)
c4af9103-59a9-43e7-ac2d-f40918282f1c (image/png)
6c7d569d-0cea-4ff9-98cd-8a37407923ed (image/png)
6f2ada46-6146-48e9-8ccb-8de5c8fc27c1 (image/png)
954e1ece-1005-4fa3-8a1b-6401e5f6387c (image/png)
768e46c0-f9a4-4b19-8420-84450cf7080c (image/png)
Show full summary
Hide full summary
Want to create your own
Mind Maps
for
free
with GoConqr?
Learn more
.
Similar
antropometria
Inchaurreguii Ka
ALGEBRA
lilibeth inela rivera
PRUEBAS SABER 9º: COMPETENCIAS CIUDADANAS - 2 PARTE
Mr. FadouX
ALCOHOLES y ETERES
carlospintag101
PRUEBAS SABER 9º: COMPETENCIAS CIUDADANAS - 1 PARTE
Mr. FadouX
Mapa conceptual sobre - programación orientada a objetos usando java
Jose Luis Suquillo
ESTRUCTURA: NIVELES O ESTRATOS DE DISEÑO (SISTEMA OPERATIVO)
Erasmo Mendez
Propiedades y aplicaciones de las sales orgánicas y haluros de acilo.
carlospintag101
MI ESTILO PERSONAL DE APRENDIZAJE
Erika Sandez Dav
Ley de Boyle y sus aplicaciones
carlospintag101
mapa mental diseño de productos
luis quiroz herazo
Browse Library