Expressions, equations and inequalities

Description

repaso para la clase
marcos  Gonzalez
Mind Map by marcos Gonzalez , updated more than 1 year ago
marcos  Gonzalez
Created by marcos Gonzalez about 9 years ago
44
1

Resource summary

Expressions, equations and inequalities
  1. patterns and expressions
    1. variable representa #'s desconocidos .
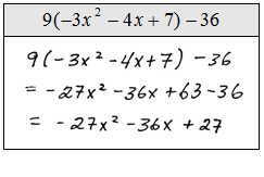
      1. Algebraic Expressions
        1. Es una oracion matematica formada por numero y simbolos (variables ) relacionadas entre si por signos que indican las operaciones a realizar (+,-,x,divison o pontencia )
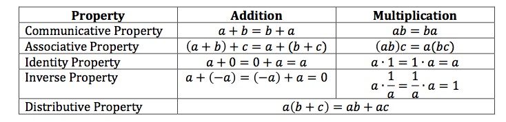
          1. Property of real numbers
            1. Para todo numero real a,b y c se satisface con una propiedad de la suma o la multiplicación. El cero no es numero natural es racional
            Show full summary Hide full summary

            Similar

            Frases comunes en inglés
            Laura -
            English: idioms and vocabulary
            Wellman Lowhand
            British Slang
            Valentina Castro
            Exprimer les gôuts et les préférences
            Kryssia Rodriguez Araya
            EXPRESSIONS AMOUR
            Sofía González
            LA MATERIA
            Blanca Francisco
            Properties of materials
            Liliana Quesada
            Vocabulari sobre el nadal (Àlex Lluch)
            Àlex Lluch
            Materials
            Salva Miralles
            Triangles: concepts, properties and types
            Luis Fernando Madrid Martínez
            Conclusions about Language and Culture
            Sebastian Benavides Aristizabal