Integrales definidas

Description

Mapa conceptual sobre integrales definidas y sus aplicaciones
gabriela garcia
Mind Map by gabriela garcia, updated more than 1 year ago
gabriela garcia
Created by gabriela garcia about 9 years ago
151
0

Resource summary

Integrales definidas
  1. La suma infinita de áreas acotadas
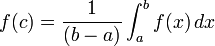
    1. Su fórmula
      1. es
      2. Su representación grafica
        1. es
      3. Se define como
        1. Sus aplicaciones son
          1. Área entre curvas
            1. Se entiende como
              1. La resta de el área mayor con la menor
              2. Curva de Lorentz
                1. Se entiende como
                  1. Es la curva que relaciona el porcentaje acumulado de la población, con el porcentaje acumulado del ingreso que posee esa población. Esta curva permite representar gráficamente la concentración del ingreso de una región en un período determinado.
                    1. Se tiene en cuenta los Indices de Gini
                      1. Los indices de Gini son entre 0 y 1
                  2. Exceso neto
                    1. Se entiende como
                      1. El área entre curvas de las tasas de rentabilidad
                      2. Valor promedio
                        1. Se entiendo como
                          1. El limite de la suma de Riemann
                            1. Su fórmula
                              1. Es
                        2. Otras aplicaciones
                          1. Vida útil
                            1. Se entiende como
                              1. Se da cuando los costos son mayores a los ingresos en un momento.
                              2. Valor futuro, y presente, flujo de ingresos
                                1. Se entiende como
                                  1. La cantidad total que se acumula en un plazo especifico (VF)
                                    1. Es un flujo de ingresos a una tasa definida durante un plazo especifico (VP)
                                  2. Demanda de los consumidores
                                    1. Se entiende como
                                      1. La disposicion del consumidor por pagar en funcion con los que ya han pagado por una unidad.
                              Show full summary Hide full summary

                              Similar

                              CÁLCULO MENTAL
                              JL Cadenas
                              FRACCIONES...
                              JL Cadenas
                              FRACCIONES...
                              Ulises Yo
                              Factorización de expresiones algebraicas_1
                              Juan Beltran
                              Factorización de expresiones algebraicas_2
                              Juan Beltran
                              Sucesiones Aritméticas
                              Elaine del Valle
                              Introducción al Álgebra
                              Tulio Herrera
                              HABILIDAD MATEMÁTICA 2019
                              Daniel Valdelamar
                              ÁREA Y LONGITUD DE ARCO
                              Erika Carolina Chuncha Ashqui
                              Integrales Indefinidas
                              Alejandro Leon
                              ELEMENTOS VECTORIALES
                              Leslie Leon