Ecuaciones

Description

Ecuaciones lineales, de segundo grado y metodos de resolucion ecuaciones de 2 incognitas
Marcos Centurión
Mind Map by Marcos Centurión, updated more than 1 year ago
Marcos Centurión
Created by Marcos Centurión about 9 years ago
66
0

Resource summary

Ecuaciones
  1. Ecuaciones de Primer Grado
    1. Resolución
      1. Para resolver una ecuación de primer grado se procede del modo siguiente: a) Se eliminan los radicales, en caso de que los haya. b) Se efectúan las operaciones indicadas en la ecuación, suprimiendo de este modo los paréntesis y los signos de agrupación. c) Se suprimen los denominadores, sí los hay. d) Se trasponen y reducen términos. e) Se despeja la incógnita, descomponiendo el primer miembro en dos factores. f) Se dividen ambos miembros por el coeficiente de la incógnita.
      2. Ejemplos
        1. 3x + 1 = x - 2 1 - 3x = 2x - 9. x - 3 = 2 + x.
          1. Resolver la ecuación :
            1. Sistemas de ecuaciones con dos incógnitas
              1. Igualaciòn
                1. Reducción
                  1. Sustituciòn
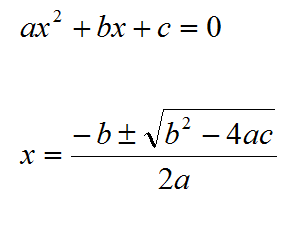
                  2. Ecuciones de 2do Grado
                    1. Completa
                      1. Incompleta
                        1. Sin tèrmino independiente
                          1. Sin tèrmino lineal
                          Show full summary Hide full summary

                          Similar

                          Ecuaciones (Primer Grado)
                          Diego Santos
                          Derivadas
                          erendira.aviles
                          PLANOS: CONCEPTUALIZACIÓN, ECUACIÓN DEL PLANO Y VECTOR NORMAL.
                          Carlos Montilla
                          Sistema de ecuaciones
                          MaruGonzalez
                          Fórmulas Geométricas (Perímetros)
                          Diego Santos
                          7 Técnicas para Aprender Matemáticas
                          maya velasquez
                          Matemáticasen la VidaCotidiana
                          Diego Santos
                          FRACCIONES...
                          JL Cadenas
                          FRACCIONES...
                          Ulises Yo
                          Factorización de expresiones algebraicas_1
                          Juan Beltran
                          CÁLCULOS con [ 3 · 5 · 7 ]
                          JL Cadenas